|
•
|
将来のm個の観測値に対する予測区間
|
|
•
|
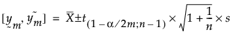
将来のm個の観測値から計算される平均に対する予測区間
|
|
•
|
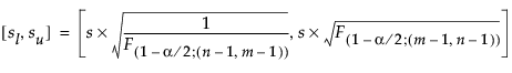
将来のm個の観測値から計算される標準偏差に対する予測区間
|
|
•
|
なお、予測区間が片側の場合には、1-αの分位点を用いて計算します。
|
詳細については、Meeker et al.(2017, ch. 4)を参照してください。
ただし 
(
に対して)
ただし 