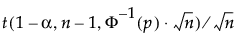
tは非心t分布の分位点です。
s=標準偏差、
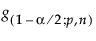
は定数です。
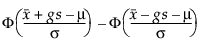
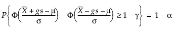
は定数です。Φは標準正規分布の 累積分布関数を表します。この割合に対して、gは次式を解くことにより計算されます。
1-γが、母集団の観測値のうち、許容区間に含まれるものの割合となります。
詳細については、Meeker et al.(2017)の表J.1a、J.1b、J.6a、J.6bを参照してください。
ノンパラメトリックな許容区間の計算については、Meeker et al.(2017, sec. 5.3)を参照してください。


= 
は標準正規分布の分位点です。

