いくつかのオプションがありますが、正規分布に基づく工程能力分析では、基本的に同じ計算式が使用されています。オプションは、シグマ(σ)の計算方法が異なるだけです。
メモ: 「長期シグマ(全データから推定)」レポートでは、他のシグマのレポートと同様に、工程能力指数のラベルに「Cp」がデフォルトで使用されています。このレポートで「PPK」のラベルを使用するには、[ファイル]>[環境設定]>[プラットフォーム]>[一変量の分布]>[Ppk工程能力ラベル設定]を選択します。
σの指定
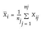
σ(グループに分けて推定)、サブグループサイズの指定
(あてはめた分布に基づいて工程能力分析を行ったときのみ表示されます)あてはめた分布の分位点から各指数が計算されています。「パラメータ推定値」レポートのパラメータについては、第 “連続分布のあてはめ”と第 “離散分布のあてはめ”を参照してください。
LSLは下限仕様限界
USLは上限仕様限界
Tは目標値
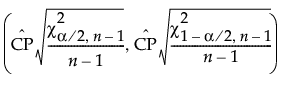
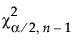
Cpの100(1 - α)%の信頼区間は、次のように計算されます。
nは標本サイズ(観測値の個数)
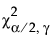
Cpkの100(1 - α)%の信頼区間は、次のように計算されます。
は、標準正規分布の(1 - α/2)番目の分位点nは標本サイズ(観測値の個数)
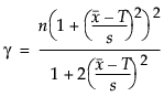
CPMの100(1 - α)%の信頼区間は、次のように計算されます。
nは標本サイズ(観測値の個数)
Tは目標値
sは、全データから推定した長期シグマ
CPLとCPUの下側信頼限界と上側信頼限界は、Chou et al.(1990)の方法で計算されます。
LSLは下限仕様限界
USLは上限仕様限界
Tは目標値
Pαはあてはめた分布の分位点です。
Cpmの計算に含まれるμとσには、あてはめた分布の平均推定値と標準偏差推定値(分散推定値の平方根)が使われます。「パラメータ推定値」レポートのパラメータの関係と、あてはめた分布の平均と分散については、第 “連続分布のあてはめ”と第 “離散分布のあてはめ”を参照してください。
LSLは下限仕様限界
USLは上限仕様限界
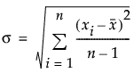
μは標本平均
σは標本標準偏差
Φは、標準正規分布の累積分布関数.
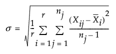
とも呼ばれており、次式によりシグマが算出されます。

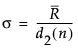
は移動範囲の平均
この式で、 






はCpの推定値
は、自由度
はCpkの推定値
はCPMの推定値
は、自由度
は、標本平均
この式で、 
この式で、 
は、Cplの推定値
この式で、 
この式で、 
は、Cpuの推定値





は、標準正規分布の(1 - Pct/100)番目の分位点
= 3 * Cpl
= 3 * Cpu
は、標準正規分布の(1 -