Poisson分布では、尺度パラメータλ > 0が推定されます。
確率関数:
ただし
; x = 0,1,2,...
ただし
; x = 0,1,2,...ガンマPoisson分布は、平均μが異なる複数のPoisson分布から、データが生成されているときに役立ちます。 例として、複数の交差点で発生した事故の発生数などが挙げられます。この場合、各交差点における事故発生数の平均(μ)は、交差点によって異なると考えられます。
ガンマPoisson分布は、x|μが平均μのPoisson分布に従い、その平均がパラメータ(α,τ)のガンマ分布に従うという仮定から導出できます。ガンマPoisson分布には、λ=ατとσ=τ+1の2つのパラメータがあります。パラメータσは過分散パラメータです。σ > 1の場合は、過大分散、つまり通常のPoisson分布よりも分散が大きくなります。σ = 1の場合、xの分布は平均λのPoisson分布になります。
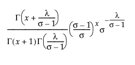
確率関数:
ただし
;
; x = 0,1,2,...
ただし
;
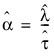
; x = 0,1,2,...前述のとおり、x|μは平均μのPoisson分布に従い、μはパラメータ(α,τ)のガンマ分布に従っていると仮定されています。このプラットフォームでは、λ=ατおよびσ=τ+1がパラメータとして推定されます。αとτの推定値は、次式により計算できます。
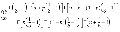
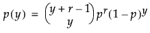
αの推定値が整数の場合、ガンマPoisson分布は、次の確率関数を持つ負の二項分布に等しくなります。
[二項]オプションでは、一定の標本サイズか、標本サイズを含む列のいずれかを指定することができます。
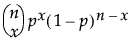
ベータ二項分布は、x|πが二項分布(n,π)に従い、πがベータ分布(α,β)に従うという仮定から導出できます。ベータ二項分布には、p = α/(α+β)とδ = 1/(α+β+1)の2つのパラメータがあります。パラメータδは、過分散パラメータです。δ > 0の場合は、過大分散、つまり通常の二項分布よりも分散が大きくなります。δ < 0の場合は、過小分散です。δ = 0の場合、xは二項分布(n,p)に従います。ベータ二項分布は、
の場合にのみ存在します。
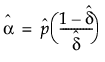
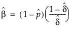
の場合にのみ存在します。前述のとおり、x|πは二項分布(n,π)に従い、πはベータ分布(α,β)に従うと仮定されています。このプラットフォームでは、p = α/(α+β)とδ = 1/(α+β+1)のパラメータ推定値が計算されます。αとβの推定値は、次式で計算できます。
なお、ベータ二項分布におけるパラメータの信頼区間は、プロファイル尤度法によって計算されます。
「Samples/Scripts」フォルダにある「demoBetaBinomial.jsl」を実行すると、nを20に固定しパラメータpを可変として、二項分布と過分散パラメータδのベータ二項分布を比較できます。
はガンマ関数です。

がその
ただし 
ただし
; 
;
;
はガンマ関数です。

がそのpの推定値となります。