[正規]オプションを選択すると、正規分布のパラメータが推定されます。正規分布は、分布が左右対称で、ほとんどのデータが中央にある分布です。正規分布は、負の値や小数点などが、データにあってもかまいません。[正規]を選択し、正規分布がデータにどれほど良くあてはまるかを調べてみることができます。
|
•
|
μ(平均)は、X軸上での分布の位置を定義します。
|
|
•
|
σ(標準偏差)は、分布のばらつきまたは広がりを定義します。
|
確率密度関数:
ただし
;
; 0 < σ
ただし
;
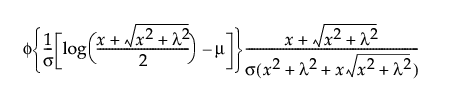
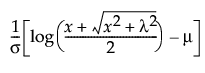
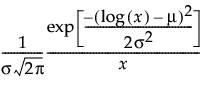
; 0 < σ[対数正規]オプションを選択すると、2パラメータの対数正規分布があてはめられ、パラメータμ(尺度)とσ(形状)が推定されます。対数正規分布に従う変数Yを、
と変換すると、Xは正規分布に従います。データはゼロより大きくなければなりません。
と変換すると、Xは正規分布に従います。データはゼロより大きくなければなりません。[Weibull]オプションでは、閾値パラメータ(θ)が0に設定されます。[閾値つきWeibull]オプションでは、データの最小値を使って閾値パラメータ(θ)を推定し、残りのデータを使ってαとβを推定します。閾値パラメータが既知の場合は、[分布パラメータの指定]オプションで、その値を指定してください。第 “あてはめた分布のオプション”を参照してください。
メモ: 「寿命の一変量」プラットフォームでは、「一変量の分布」プラットフォームと異なる方法で、閾値つきWeibull分布の閾値パラメータを推定しています。閾値つきWeibull分布の推定には、「寿命の一変量」プラットフォームの推定方法のほうが適しています。『信頼性/生存時間分析』の「寿命の一変量」章を参照してください。
Devore(1995)などによると、指数分布は無記憶性の分布です。「無記憶性」とは、t時間後にまだ正常に機能している部品の、t時点以降での生存時間分布(t時点以降の生存時間の条件付き分布)が、元の生存時間分布と同じになることです。
[ガンマ]オプションを選択すると、ガンマ分布があてはめられ、α > 0、σ > 0 というパラメータが推定されます。αは分布の形状を、 σは分布の尺度を表します。「閾値」(θ)と呼ばれる3番目のパラメータは、分布の下限値を示します。この閾値パラメータは、デフォルトでは0に設定されていますが(負のデータ値がない場合)、 [分布パラメータの指定]オプションを選択すれば、任意の値に変更できます。第 “あてはめた分布のオプション”を参照してください。
|
•
|
|
•
|
|
•
|
α = 1、θ = 0のときのガンマ分布は、指数分布になります。
|
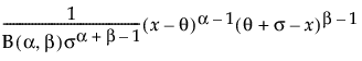
ベータ分布の中で、標準ベータ分布は、(0, 1)の区間しか取りません。標準ベータ分布は、割合などの0から1の範囲に収まるデータに対してよく使われています。[ベータ]オプションを選択すると、ベータ分布の2つの形状パラメータα > 0、β > 0が推定されます。また、「一変量の分布」であてはめられるベータ分布は4パラメータのベータ分布であり、下限と上限を決めるθとσというパラメータも同時に推定されます。この4パラメータのベータ分布では、
の区間にのみ値があります。θは最小値、σは範囲を表しています。標準ベータ分布は、θ = 0、σ = 1 です。
の区間にのみ値があります。θは最小値、σは範囲を表しています。標準ベータ分布は、θ = 0、σ = 1 です。[分布パラメータの指定]オプションを選択すれば、パラメータを任意の値に設定できます。その際、上側の閾値はデータの最大値以上、下側の閾値はデータの最小値以下にしなければなりません。[分布パラメータの指定]オプションの詳細については、第 “あてはめた分布のオプション”を参照してください。
[正規混合]オプションでは、正規分布の混合分布をあてはめます。多峰性の分布にも対応した柔軟な分布です。
2つもしくは3つの正規分布の混合分布をあてはめるには、[二重正規混合]もしくは[三重正規混合]オプションをそれぞれ選択します。または、[その他]オプションを選択して、k個の正規分布の混合分布をあてはめることもできます。グループごとに1つずつ個別の平均、標準偏差、全体に占める割合が推定されます。
[平滑曲線]オプションは、ノンパラメトリックな密度の推定値(カーネル密度推定)を計算し、平滑曲線をあてはめます。ヒストグラム上に平滑曲線が表示され、プロットの下にスライダが表示されます。スライダを使ってカーネル標準偏差を変更することで、平滑化の度合いを調節できます。[カーネル標準偏差]の初期値は、データの標準偏差に基づいて算出されます。
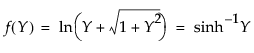
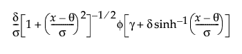
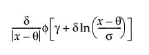
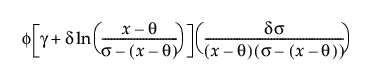
[SHASH]オプションは、sinh-arcsinh分布(正弦-逆正弦分布; SHASH分布)をあてはめます。SHASH分布は、正規分布に簡単に変換することができ、また正規分布を特殊なケースとして含んでいます。SHASH分布は、対称な分布と非対称な分布を含んでいます。SHASH分布の形状は、2つの形状パラメータ(γとδ)によって決まります。SHASH分布の詳細については、Jones and Pewsey(2009)を参照してください。
Sは「システム」、添え字は範囲を示します。JMPで採用されている手法とは異なりますが、各Johnsonシステムの選択基準については、Slifker and Shapiro(1980)が参考になります。
|
•
|
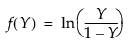
デフォルトのレポートには、パラメータの信頼区間は表示されません。Johnsonの分布は正規分布へと変換するためのものであり、パラメータの信頼区間にはあまり意味がないためです。パラメータの信頼区間を表示するには、レポートを右クリックし、[列]>[下側95%信頼限界]と[上側95%信頼限界]を選択します。
|
メモ: デフォルトのレポートには、パラメータの信頼区間は表示されません。一般化対数分布は正規分布へと変換するためのものであり、パラメータの信頼区間にはあまり意味がないためです。パラメータの信頼区間を表示するには、レポートを右クリックし、[列]>[下側95%信頼限界]と[上側95%信頼限界]を選択します。
|
–
|
nは標本サイズ
|
|
–
|
νはパラメータの個数
|
列に負の値がある場合は、正の値のみを対象とする分布は除外されます。また、連続分布のみが表示されます。連続分布でも、閾値パラメータがある分布(ベータ分布やJohnson Sb分布など)は除外されます。
、
です。「パラメータ推定値」レポートには、
ただし
;
; 0 < 

ただし 


はガンマ関数です。
ただし 0 < 
ただし
; 0 <
になります。
の場合、常に減少します。
の場合、0 から最大値に達するまで増加した後、減少します。
ただし
; 0 < 

はベータ関数です。


は標準正規分布の確率密度関数です。




で

ただし
; 0 <
ただし
ただし
は標準正規分布の確率密度関数です。
; 0 < 
~ N(0,1)のとき、