JMP 14.2オンラインマニュアル
はじめてのJMP
JMPの使用法
基本的な統計分析
グラフ機能
プロファイル機能
実験計画(DOE)
基本的な回帰モデル
予測モデルおよび発展的なモデル
多変量分析
品質と工程
信頼性/生存時間分析
消費者調査
スクリプトガイド
スクリプト構文リファレンス
JMP iPad Help (英語)
JMP Interactive HTML (英語)
機能インデックス
JMP統計機能ガイド
このバージョンのヘルプはこれ以降更新されません。最新のヘルプは
https://www.jmp.com/support/help/ja/15.2
からご覧いただけます。
基本的な統計分析
•
一元配置分析
•
「一元配置」プラットフォームの統計的詳細
• 等分散性の検定
前へ
•
次へ
等分散性の検定
F値
O’Brienの検定では、元の応答変数を変換して、新しい応答変数を作成し、それに対して一元配置分散分析を行います。変換後の応答変数は、そのグループ平均が、元の応答変数のグループごとの不偏分散と等しくなるように作成されます。この変換後の応答変数は、次式で計算されます。
n
は、観測値
y
ijk
の個数を表します。
Brown-Forsythe検定は、
に対する一元配置分散分析の
F
検定です。ここで、
は
i
番目の水準におけるYの中央値です。
Leven検定は、
に対する一元配置分散分析の
F
検定です。ここで、
は
i
番目の水準の応答平均です。
Bartlett検定は、次式により計算されます。
この式で、
および
n
i
は
i
番目の水準における度数、
s
i
2
は
i
番目の水準におけるYの不偏分散です。このBartlett検定の検定統計量は、カイ2乗分布に従います。表中のBartlett検定の
F
値に出力されている値は、このBartlettのカイ2乗検定統計量を自由度で割ったものです。
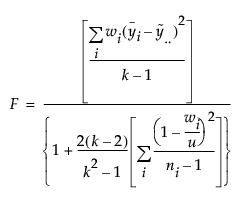
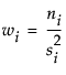
Welchの検定のF値
Welchの検定のF値は、次の式で計算されます。
この式で
、
、
n
i
は
i
番目の水準における度数、
は
i
番目の水準におけるYの平均、
s
i
2
は
i
番目の水準におけるYの不偏分散です。
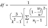
Welch検定の分母自由度
Welch検定の分母自由度は、次の近似式によって計算されます。
ここで、
w
i
、
n
i
、
u
は
F
値の式と同じ定義です。