計画の詳細を指定した後、[続行]をクリックすると、ウィンドウに新しいアウトラインが3つ追加されます。
図22.18 追加される3つのアウトライン
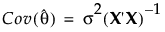
「釣合い型計画」の「パラメータ分散」は(X‘X)-1です。なお、微分値は数値計算によって求められます。なお、この計算は、「事前平均」アウトラインで指定された値を真のパラメータ値とみなして行われています。

