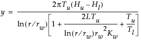
rw = 試錘孔の半径(0.05~0.15m)
r = 影響の半径(100~50,000m)
Hu = 上部帯水層の水圧(potentiometric head)(990~1100m)
Hl = 下部帯水層の水圧(700~820m)
L = 試錘孔の長さ(1120~1680m)
Kw = 試錘孔の透水係数(9855~12,045m/年)
球の詰め込み計画を使って、応答yの計算に使われる一定の条件を求めます。次に、計画で使用した入力範囲に対し、真のモデルの予測モデルを作成します。この予測モデルを評価することは、8つの因子が応答に及ぼす影響を理解するために役立ちます。
