という切片だけの単純なモデルを考えましょう。空間モデル(もしくは時間モデル)では、誤差項eiの共分散行列に対して、空間的な構造を仮定します。空間モデルでは、ある時点の誤差分散
、および、異なる2地点の誤差間の共分散
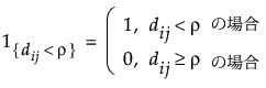
を、特定の関数で表します。siが、yiが測定された地点の座標(もしくは測定された時点)を表すとします。空間モデルでは、通常、「2つの地点の誤差間の共分散は、場所siとsjの間のユークリット距離dijの関数である」と仮定します。つまり、誤差間の共分散が、特定の関数
によって仮定されます。ここで、関数
は、yiとyjにおける誤差間の相関です。
によって仮定されます。ここで、関数
は、yiとyjにおける誤差間の相関です。地点の座標が2次元以上で表されているときで、f(dij)が方向に依存していない場合、その共分散構造の性質を「等方性(isotropic)」と呼びます。一方、依存している場合は「異方性(anisotropic)」と呼びます。
JMPに用意されている空間的モデルの相関構造を以下に紹介します。これらの構造をパラメータ化するρは、他に制約がない限り正の値を取ります。
|
•
|
|
•
|
|
•
|
|
•
|
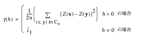
空間過程が2次定常性の場合、第 “空間的相関構造”で述べられている相関構造により、バリオグラムが定義されます。バリオグラムは空間統計学において、空間データの特徴を表すグラフとして使われています。バリオグラムは、空間におけるばらつきを、地点間の距離dijの関数である準分散(semivariance)で表します。
構造が等方性である場合は、準分散は、点の間の距離hだけに依存するため、次のようにも表されます。
バリオグラムの切片で、 h=0における準分散を表します。
距離を増加させていき、平坦になったときのバリオグラムの値です。これは、観測値の分散に該当します。ナゲット効果のないモデルでは、シルは
です。ナゲット効果のあるモデルでは、シルは
で、c1がナゲットを表します。このとき、
は部分シル(partial sill)と呼ばれています。
です。ナゲット効果のあるモデルでは、シルは
で、c1がナゲットを表します。このとき、
は部分シル(partial sill)と呼ばれています。バリオグラムがシルに到達する距離です。レンジよりも短い距離では、観測値間には相関があります。レンジ以上の距離では、相関がゼロになっています。球型モデルでは、ρがレンジです。指数モデルでは、3ρが実質的なレンジです。Gaussモデルでは、
が実質的なレンジです。ここで「実質的なレンジ」とは、バリオグラムの値が、シルの95%までに達する距離です。
が実質的なレンジです。ここで「実質的なレンジ」とは、バリオグラムの値が、シルの95%までに達する距離です。「混合モデルのあてはめ」レポート - ナゲット効果ありの球型空間的構造における共分散パラメータ推定値は、次のようなさまざまなバリオグラムの特徴を示しています。
レンジρの推定値。
経験的準分散に、非線形最小2乗法で、特定の等方性空間構造(第 “空間的相関構造”)に対応した関数をあてはめても、バリオグラムの推定値を求めることができるでしょう。
経験的準分散(empirical semivariance)は、すべてのペアの距離に対して計算されます。このとき、計算された距離は、10区間に等しく分割されます。分割したときに10区間に満たない場合には、できるだけ多くの区間が作成されます。
Ch
h番目の区間に含まれるペアで構成されたグループ
Z(x)
xにおける応答変数の値。ここで、xは、空間的座標のベクトル
γ(h)
準分散関数のγは、次のように定義されます。

空間的相関構造




バリオグラム


の尺度化した推定値。残差にこの「ナゲット」を掛けると
になります。
バリオグラムの推定値
経験的準分散
はナゲット効果の推定値です。