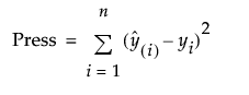
PRESS(prediction error sum of squares)は、1つ取って置き法(leave‐one‐out method)によって計算される予測誤差の平方和です。1つ取って置き法では、データの各行が1行ずつ順番に除外されて、モデルが推定されます。そして、推定されたモデルに基づき、その除外された1行に対して予測値が求められ、その残差が計算されます。この手順がすべての行に適用されます。それらの残差の平方和がPRESSです。この手順はすべてのデータに適用され、残差の平方和によりPRESSが求められます。

は
です。