第 “「カスタム検定」の例”では、「Cholesterol.jmp」サンプルデータを使って、 次の3つの比較を行いました。
|
•
|
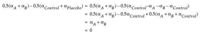
「カスタム検定」の列に入力する係数を導き出すには、次のような計算を行います。ここで、4群の効果を表すパラメータを、それぞれαA、αB、αControl、αPlaceboとします。これらのパラメータは合計が0になるような制約が課されています。「カスタム検定」で表示されているパラメータは、4つのうち、最初の3つだけです。よって、最初の3つのパラメータに対する係数を求める必要があります。詳細については、第 “カスタム検定の例に関する詳細”および付録「統計的詳細」の「パラメータの解釈」(486ページ)を参照してください。
|
•
|



という制約が課せられています。これをプラセボ群のパラメータについて解くと、
となります。これを、上式の左辺に代入して計算すると、下式の中辺のようになります。