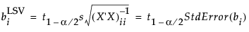
ここで、sは誤差の標準偏差(RMSE; Root Mean Square Error, 平均2乗誤差の平方根)です。この検定統計量の絶対値が、1 ‐ α/2におけるt分布の分位点t1‐α/2を超える場合、有意水準αにおいて仮説は棄却されます(このときの、t分布の自由度は誤差の自由度と同じです)。
最小有意値は、検定統計量がちょうどその棄却値になるときのLbの値で、次式によって求められます。
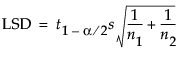
2群間の平均差に対する検定では、最小有意差(LSD; Least Significant Difference)という指標が使われることがあります。一元配置分散分析においては、LSDの計算式は、次のように簡単に求めることができます。



