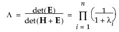
以下のセクションにおいて、Eは残差交差積行列、Hはモデル交差積行列です。Eの対角要素は、各変数の残差平方和です。Hの対角要素は、各変数のモデル平方和です。判別分析に関する文献では、Eは、「within」の頭文字を取ってWと呼ばれることもあります。
多変量検定の結果表に表示される統計量は、
の固有値λの関数です。次のリストは、各検定統計量の計算方法をまとめたものです。
の固有値λの関数です。次のリストは、各検定統計量の計算方法をまとめたものです。|
•
|
EとHは次のように定義されます。
が、後ろから


、
の最大固有値。
