次表に示すF値と自由度の計算において、pを
のランクとします。また、qを
のランクとします。ここで、L行列は、
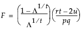
の要素のうち、どこを検定するかを特定するための行列です。vを誤差の自由度とし、sをpとqのうちの小さい方とします。さらに、
と
とします。
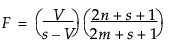
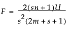
のランクとします。また、qを
のランクとします。ここで、L行列は、
の要素のうち、どこを検定するかを特定するための行列です。vを誤差の自由度とし、sをpとqのうちの小さい方とします。さらに、
と
とします。










