JMP 14.2オンラインマニュアル
はじめてのJMP
JMPの使用法
基本的な統計分析
グラフ機能
プロファイル機能
実験計画(DOE)
基本的な回帰モデル
予測モデルおよび発展的なモデル
多変量分析
品質と工程
信頼性/生存時間分析
消費者調査
スクリプトガイド
スクリプト構文リファレンス
JMP iPad Help (英語)
JMP Interactive HTML (英語)
機能インデックス
JMP統計機能ガイド
このバージョンのヘルプはこれ以降更新されません。最新のヘルプは
https://www.jmp.com/support/help/ja/15.2
からご覧いただけます。
多変量分析
•
判別分析
•
「判別分析」プラットフォームの技術的詳細
• 群間共分散行列
前へ
•
次へ
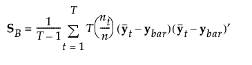
群間共分散行列
グループ間の共分散行列(群間共分散行列)は、
[計算式の保存]で保存される計算式の記号
の記号によって、次のように表されます。