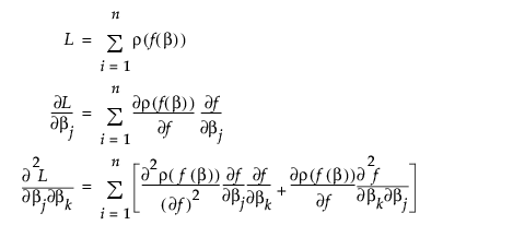
f(β)というモデルを使うとしましょう。「非線形回帰」プラットフォームでは、次の式で定義される損失関数の合計が最小化されます。
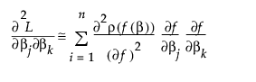
ρが残差の2乗のときは、残差の合計が小さいため、第2項は小さくなるはずです。また、切片項があるときは0になります。最小2乗法の場合は、この項がGauss-Newton法とNewton-Raphson法とで異なります。

は、データテーブル内にある、損失関数が定義されている列以外の列の関数である場合があります。また、損失関数を1次微分および2次微分した値はゼロでない必要があります。デフォルトの損失関数
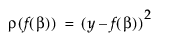
は残差の2乗で、次のような式で表されます。
の最初の2つの微分を取り、次のように勾配と近似ヘッセ行列が求められます。
が線形なら、最後の式の第2項はゼロになります。ゼロにならなくても、合計が第1項に比べて比較的小さくなるようであれば、次の式を使っても良いでしょう。