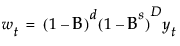
「差分の指定」ウィンドウ(「差分の指定」ウィンドウ)が開きます。このウィンドウで、時系列に適用したい差分演算を指定します。時系列データの差分を取ると、定常でない時系列を定常化できます。差分は次式で計算されます。
図16.5 「差分の指定」ウィンドウ
「差分の指定」ウィンドウでは、季節性のない差分の次数であるd、季節性のある差分の次数D、1周期における時点数sを指定します。差分の次数をゼロとすると、その差分は計算されません。差分演算を指定して[推定]をクリックするたびに、レポートウィンドウに「差分」レポートが追加されます。詳細は、第 “「時系列分析」プラットフォームの別例”を参照してください。
線形回帰モデルを使って原系列の線形トレンドを推定し、データから線形トレンドを取り除きます。レポートには、トレンドを除去した時系列の「時系列」レポートと線形トレンドに関する情報が表示されます。第 “「時系列」レポート”および第 “「線形トレンド」レポート”を参照してください。
単一の余弦関数(コサイン関数)によって原系列に含まれる周期性要素を推定し、それを原系列から除去します。[周期性の除去]オプションを選択すると、「周期を定義」ウィンドウが開きます。このウィンドウで、1周期における時点数と、原系列データから定数を引くかどうかを指定します。レポートには、周期性を除去した時系列の「時系列」レポートと周期に関する情報が表示されます。第 “「時系列」レポート”および第 “「周期性」レポート”を参照してください。
アメリカ合衆国国勢調査局によって開発されたX11法によってトレンドと季節性の効果を除去します(Shiskin et.al.1967)。X11法の詳細については、第 “X11法による分解の統計的詳細”を参照してください。このオプションを選択すると、「分解方法の選択」ウィンドウが開きます。ここでは、乗法型と加法型のいずれのX11モデルを用いるかを指定します。[OK]をクリックすると、レポートウィンドウに「X11」レポートが追加されます。第 “「X11」レポート”を参照してください。
X11オプションは、月次データまたは四半期データでのみ使用できます。「X, 時間ID」列の値が、月または四半期の均等な間隔で並んだ数値でなければならず、隙間や欠測値があってはなりません。これらの条件を満たしていない時間列に対してX11を適用しようとすると、エラーになります。
メモ: [線形トレンドの除去]または[周期性の除去]を選択した場合は、データテーブルにトレンドまたは周期性が除去されたデータを含む列が追加されます。オプションを選択した時点でこの列がすでにデータテーブル内に存在する場合は、列が上書きされます。
時点t +/- pにおける観測値をX軸、時点tにおける観測値をY軸にプロットしたラグプロットが表示されます。+/- pはラグを指します。このプロットからは、時点tにおけるある観測値が時点t +/- pにおける別の観測値とどのように関連しているかがわかります。プロットにおいて何の関係も見られない場合、一定のラグを置いた観測値の間に関連はありません。プロットにおいて関係が見られる場合は、一定のラグを置いた観測値の間には何らかの関係があります。時系列モデルの作成において、一定のラグを置いた観測値の間に関係があるかどうかを特定することは重要です。

