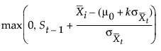
正のシフトδを検出する片側CUSUM管理図では、次式に基づき、t番目のサブグループの累積和を計算します。
(t = 1, 2,..., nの場合)。S0 = 0です。また、ztは両側CUSUM管理図の時と同じように定義され、パラメータk(参照値)は正の値です。パラメータkを起動ウィンドウで指定しなかった場合、kはδ/2に設定されます。このStは、上側累積和といいます。Stは、次のようにも表せます。
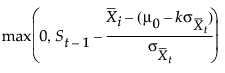
負のシフトを検出する片側CUSUM管理図では、次式に基づき、t番目のサブグループの累積和を計算します。
(t = 1, 2,..., nの場合)。S0 = 0です。また、ztは両側CUSUM管理図の時と同じように定義され、パラメータk(参照値)は正の値です。パラメータkを起動ウィンドウで指定しなかった場合、kはδ/2に設定されます。このStは、下側累積和といいます。Stは、次のようにも表せます。
Lucas and Crosier(1982)は、高速初期応答(FIR: Fast Initial Response)について述べています。そこでは、累積和の初期値S0に開始値を設定することが述べられています。平均連長の計算を見ると、工程が管理された状態にあるときはFIRを使用してもほとんど効果がありませんが、その初期段階で管理外の状態になっている場合には、標準のCUSUM管理図よりも早く検出することができます。起動ウィンドウの「CUSUM(累積和)管理図で使用する既知の統計量」領域の「開始値」で開始値を指定できます。
サブグループの標本サイズが一定(= n)の場合は、累積和がデータと同じ単位でスケールされている方が解釈しやすい場合があります。δ > 0の場合には、データと同じ単位でスケールされている累積和は、次のように計算されます。
どちらの場合も、パラメータkのスケールが
に変更されます。起動ウィンドウにおいいてパラメータkを指定しなかった場合、k’がδ/2に設定されます。Stが
を超えた場合、シフトが生じたことを意味します。統計学者によっては、h'をHと表記する場合があります。
に変更されます。起動ウィンドウにおいいてパラメータkを指定しなかった場合、k’がδ/2に設定されます。Stが
を超えた場合、シフトが生じたことを意味します。統計学者によっては、h'をHと表記する場合があります。


