JMP 14.2オンラインマニュアル
はじめてのJMP
JMPの使用法
基本的な統計分析
グラフ機能
プロファイル機能
実験計画(DOE)
基本的な回帰モデル
予測モデルおよび発展的なモデル
多変量分析
品質と工程
信頼性/生存時間分析
消費者調査
スクリプトガイド
スクリプト構文リファレンス
JMP iPad Help (英語)
JMP Interactive HTML (英語)
機能インデックス
JMP統計機能ガイド
このバージョンのヘルプはこれ以降更新されません。最新のヘルプは
https://www.jmp.com/support/help/ja/15.2
からご覧いただけます。
品質と工程
•
VマスクCUSUM管理図
•
「VマスクCUSUM(累積和)」管理図の統計的詳細
• 両側CUSUM管理図
前へ
•
次へ
両側CUSUM管理図
両側CUSUM管理図の場合は、
t
番目のサブグループに次の累積和
S
t
がプロットされます。
S
t
=
S
t - 1
+
z
t
(
t
= 1, 2,...,
n
の場合)。ここで、
S
0
= 0であり、
z
t
の項は次のように計算します。
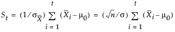
ここで、
X̅
t
は
t
番目のサブグループの平均を示し、
n
t
は
t
番目のサブグループの標本サイズを示します。サブグループの標本が個々の測定値
x
t
から成る場合は、
z
t
の項は次のように単純化されます。
z
t
= (
x
t
-
μ
0
)/
σ
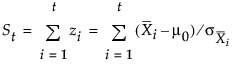
最初の式は、次のように書き換えられます。
数列
S
t
は、目標平均
μ
0
からのサブグループ平均の偏差を標準化したものを累積します。
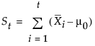
実際の場面ではサブグループの標本サイズ
n
i
は等しいこと(
n
i
=
n
)が多いですが、その場合、
S
t
の式は次のように単純化できます。
また、用途によっては、
S
t
を次のように計算する方が解釈しやすい場合があります。
この累積和は、データと同じ単位でスケールされます。この場合、Vマスクのパラメータ
h
と
k
は、それぞれ
と
にスケールが変更されます。統計学者によっては、
k
'を
F
、
h
'を
H
と表記する場合があります。
工程が管理された状態にあり、平均
μ
が目標値
μ
0
であるか、それに近い値である場合、累積和はランダムウォーク(酔歩)に従います。ランダムウォークに従っている場合、点はゼロから離れることはありますが、
μ
0
からの正と負のずれが相殺されるため、傾きが現れることはありません。
μ
が正の方向にシフトすると上向きの傾きが現れ、
μ
が負の方向にシフトすると下向きの傾きが現れます。