「VマスクCUSUM(累積和)管理図」プラットフォームを起動するには、[分析]>[品質と工程]>[管理図]>[CUSUM(累積和)]を選択します。
横軸のラベルにする変数を指定すれば、サイズの異なるサブグループを作成することができます。変数を指定しなかった場合、サブグループ標本に対する通し番号が横軸のラベルになります。「統計的管理図」章の「標本ラベル」(85ページ)を参照してください。
Kシグマ(k×σ)
両側CUSUM管理図の場合、Vマスクの原点とVマスクの上下の線との垂直距離(h)を指します(両側CUSUM管理図のVマスクを参照)。片側CUSUM管理図の場合、このHの値は決定限界です。「H」には、標準誤差の何倍にするかを入力します。
|
–
|
「目標値」には、工程の目標値を指定します。指定する値は、データと同じ単位でスケールされていなければなりません。
|
|
–
|
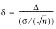
「δ」は、検出したい最小のシフトの絶対値です。標準偏差または標準誤差の乗数で指定します。「δ」は「シフト」オプション(この後すぐ説明があります)の代わりということができます。「シフト」と「δ」の関係は、次のような式で表されます。
|
|
–
|
「シフト」には、目標値からの上または下へのシフトとして検出したい最小値を指定します。シフトの値には、サブグループ平均におけるシフトを、データと同じ単位で指定してください。「シフト」と「δ」のいずれかを入力することによって、シフトを指定することができます。
|
|
–
|
|
–
|
工程が特定の仕様限界に適合しているかどうかを測定します。起動ウィンドウで[OK]をクリックしたときに、仕様限界や目標値が列プロパティとして定義されていない場合は、仕様限界や目標値を入力するウィンドウが表示されます。『基本的な統計分析』の「一変量の分布」章を参照してください。
起動ウィンドウの詳細については、『JMPの使用法』の「はじめに」章を参照してください。

