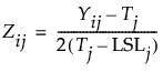
「工程能力箱ひげ図」は、分析対象の各変数についての箱ひげ図です。各列の値は、その目標値で中心化され、仕様限界の範囲で尺度化されます。目標値が仕様限界の真中ではない場合、値は、目標値と仕様限界との差のうち小さいほうを2倍したもので尺度化されます。つまり、工程列Yjに対して次のように計算されます(表記については第 “ゴールプロットと工程能力箱ひげ図の表記法”を参照)。
仕様限界が片側しか指定されていない工程の場合は、第 “仕様限界が片側の場合、またはない場合”を参照してください。目標値がない工程の場合は、第 “目標値がない工程の工程能力箱ひげ図”を参照してください。
ゴールプロットは、「Semiconductor Capability.jmp」サンプルデータの8つの変数に対する「工程能力箱ひげ図」レポートです。
図11.12 工程能力箱ひげ図
このプロットでは、各変数をその仕様限界と比較することができます。たとえば、工程能力箱ひげ図の「IVP1」では、点の大部分が上側仕様限界を超えていますが、「IVP2」を見ると、大部分が目標値を下回っています。「PNP2」は、すべての点が仕様限界内に収まっていることから、目標に達していると考えられます。



