実験計画(DOE) > 決定的スクリーニング計画
公開日: 04/01/2021

決定的スクリーニング計画

決定的スクリーニング計画(Definitive Screening Design; DSD)は、スクリーニング計画の一種です。決定的スクリーニング計画は、一連の実験に行う早い段階で行うスクリーニング計画であり、4因子以上の実験に適しています。決定的スクリーニング計画は、連続尺度の因子に対する計画ですが、2水準のカテゴリカル因子が含まれていても扱えます。決定的スクリーニング計画が最も適している状況は、因子の多くが連続尺度である場合です。決定的スクリーニング計画では、連続尺度の因子は3水準になっているので、それらの連続尺度の因子の2乗項も調べることができます。

決定的スクリーニング計画が標準のスクリーニング計画よりも優れているのは、次のような点です。

連続尺度の因子を3水準に設定して実験し、非線形効果をもつ因子を特定します。標準のスクリーニング計画では、連続尺度の因子は2水準です。標準のスクリーニング計画でも中心点を追加できますが、それらの追加された中心点は、いずれかの因子に曲線性があることしか確認できません。中心点を追加した標準のスクリーニング計画では、2乗効果をもつ因子がどれであるかを特定することはできません。

決定的スクリーニング計画では、すべての2次までの効果間において完全交絡がありません。また、連続尺度の主効果は、互いに直交しており、かつ、2因子間交互作用や2乗効果とも直交しています。また、2因子間交互作用同士は完全交絡していません。一方、実験回数が同程度である標準的なスクリーニング計画の多くでは、完全交絡があります。

標準的なスクリーニング計画だけでは曖昧さが残るために追加実験が必要な場合があります。決定的スクリーニング計画では追加実験を省くことができ、費用が節約できます。

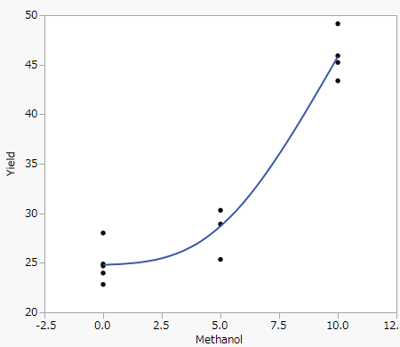
図7.1 曲線性を示す応答と因子のプロット 

Image shown here

目次

決定的スクリーニング計画の概要

決定的スクリーニング計画の例

決定的スクリーニング計画
一部実施要因計画との比較
ブロック因子を含む決定的スクリーニング計画
決定的スクリーニング計画とPlackett-Burman計画の比較

「決定的スクリーニング計画」ウィンドウ

応答
因子
計画のオプション
計画
計画の評価
出力オプション

決定的スクリーニング計画のオプション

応答のシミュレート

技術的な詳細

決定的スクリーニング計画の構造
実験データの分析
より詳細な情報が必要な場合や、質問があるときは、JMPユーザーコミュニティで答えを見つけましょう (community.jmp.com).