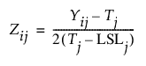
"공정 능력" 보고서의 "공정 능력 상자 그림"에는 분석에서 선택된 각 변수에 대한 상자 그림이 표시됩니다. 각 열의 값은 목표값으로 중심화되고 규격 한계 간의 차이로 척도화됩니다. 목표값이 규격 한계 사이에서 중심화되지 않으면 목표값과 규격 한계 간 최소 차이의 2배로 척도화됩니다. 각 공정 열 Yj의 경우 다음과 같습니다(표기에 대한 설명은 표기에 대한 통계 상세 정보에서 확인).

단측 규격이 지정된 공정에 대한 내용은 단측 또는 결측 규격 한계에서 확인하십시오. 목표값이 지정되지 않은 경우에 대한 내용은 공정 능력 상자 그림에 대한 통계 상세 정보에서 확인하십시오.
참고: 정규 분포를 제외한 다른 분포를 사용하는 공정 변수는 공정 능력 상자 그림에 표시되지 않습니다.
Figure 9.12에서는 Semiconductor Capability.jmp 샘플 데이터 테이블의 8개 변수에 대한 "공정 능력 상자 그림" 보고서를 보여 줍니다.
그림 9.12 공정 능력 상자 그림
이 그림에는 ±0.5 위치에 녹색 점선이 그려져 있습니다.
• 목표값이 규격 한계 사이에서 중심화된 공정의 경우 녹색 점선은 표준화된 규격 한계를 나타냅니다.
• 목표값이 규격 한계 사이에서 중심화되지 않은 공정의 경우 녹색 점선 중 하나는 목표값에 더 가까운 한계에 대한 표준화된 규격 한계를 나타냅니다. 다른 녹색 점선은 반대 방향의 동일한 거리를 나타냅니다.
이 그림은 규격 한계와 관련하여 변수를 비교하는 데 유용합니다. 예를 들어 Figure 9.12에서 IVP1의 점 대부분은 USL을 초과하고 IVP2의 점 대부분은 목표값 미만입니다. PNP2는 모든 데이터 점이 규격 한계 내의 목표값에 있는 것 같습니다.
열의 규격 한계가 하나뿐인 경우 색상은 다음과 같은 방식으로 사용됩니다.
• USL(규격 상한)만 지정된 경우 상자 그림은 파란색으로 표시됩니다.
• LSL(규격 하한)만 지정된 경우 상자 그림은 빨간색으로 표시됩니다.
• 하나 이상의 공정에 규격 상한만 있는 경우 0.5 위치에 파란색 점선이 표시됩니다.
• 하나 이상의 공정에 규격 하한만 있는 경우 -0.5 위치에 빨간색 점선이 표시됩니다.
규격 하한만 지정되고 공정 목표값이 지정된 경우를 가정해 보겠습니다. 공정 능력 상자 그림은 변환된 관측값에 대한 다음 값을 기반으로 합니다. 표기에 대한 설명은 표기에 대한 통계 상세 정보에서 확인하십시오.

규격 상한만 지정되고 공정 목표값이 지정된 경우를 가정해 보겠습니다. 공정 능력 상자 그림은 변환된 관측값에 대한 다음 값을 기반으로 합니다.

단측 규격 한계가 있는 경우 결측 목표값을 처리하는 방법에 대한 자세한 내용은 단일 규격 한계가 지정되고 목표값 없음에서 확인하십시오.