"설계 비교" 보고서의 "설계 진단" 섹션에서는 비교 설계를 기준으로 참조 설계의 D 효율도, G 효율도, A 효율도 및 I 효율도를 보여 줍니다. "추가 런 크기"도 표시됩니다. 두 가지 설계가 주어진 경우 상대 효율도 측도가 높은 설계가 더 좋습니다.
그림 17.20 세 가지 설계에 대한 설계 진단
Figure 17.20에서는 런 크기가 다른 설계 비교의 예에서 생성한 세 가지 설계의 "설계 진단" 보고서를 보여 줍니다. "모형" 섹션에는 주효과만 있습니다.
"설계 진단" 테이블 아래에 나오는 색상 그래디언트에 따라 이 테이블의 값에 색상이 적용됩니다. "설계 진단"의 빨간색 삼각형 메뉴 옵션을 사용하여 색상 범례를 제어할 수 있습니다. 자세한 내용은 색상 대시보드에서 확인하십시오.
D 효율도, G 효율도, A 효율도 및 I 효율도 각각에 대한 상대 효율도가 "설계 진단" 보고서에 표시됩니다. 이 값은 각 설계의 효율도 값을 계산한 후 적절한 비율을 적용하여 구할 수 있습니다. 상대 효율도 측도에 대한 설명은 상대 효율도 측도에서 확인하십시오.
추가 런 크기는 참조 설계의 런 수에서 비교 설계의 런 수를 뺀 값입니다. 참조 설계의 런 수가 비교 설계보다 많은 경우 참조 설계의 효율도를 달성하기 위해 필요한 추가 런 수가 "추가 런 크기"에 표시됩니다.
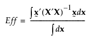
• X는 모형 행렬입니다.
• p는 모형의 항 수입니다(절편 포함).
•
는 점
에서의 상대 예측 분산입니다. 자세한 내용은 상대 예측 분산에서 확인하십시오.
비교 설계(Comp)에 대한 참조 설계(Ref)의 상대 효율도는 다음 표현식을 사용하여 구합니다.
D 효율도
EffRef/EffComp. 여기서 각 설계의 Eff는 다음과 같이 지정됩니다.

G 효율도
EffComp/EffRef. 여기서 각 설계의 Eff는 다음과 같이 지정됩니다.

D가 설계 영역이라고 하면
참고: G 효율도는 설계 공간의 몬테카를로 표집을 사용하여 계산됩니다. 보고된 값은 더 큰
또는 몬테카를로 표집의 예측 분산을 기반으로 합니다. 따라서 같은 설계에 대한 계산이 약간 다를 수 있습니다.
A 효율도
EffComp/EffRef. 여기서 각 설계의 Eff는 다음과 같이 지정됩니다.

I 효율도
EffComp/EffRef. 여기서 각 설계의 Eff는 다음과 같이 지정됩니다.

계산에 대한 자세한 내용은 Goos and Jones(2011)의 "Section 4.3.5"에서 확인하십시오.