"시계열"의 빨간색 삼각형 메뉴에는 모델링할 데이터를 준비하기 위한 다음 옵션이 포함되어 있습니다.
차분
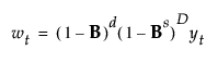
"차분 규격" 창을 표시합니다(Figure 18.5). 이 창에서 시계열에 적용할 차분 연산을 지정할 수 있습니다. 시계열의 값을 차분하면 비정상 계열을 정상 계열로 변환할 수 있습니다. 차분 계열은 다음 방정식에 의해 제공됩니다.

여기서 t는 시간 인덱스이고, B는 Byt = yt-1로 정의된 후방 연산자입니다.
참고: 많은 시계열은 추세 또는 계절성이 있는 시계열과 같은 고정 평균을 보이지 않습니다. 이러한 비정상 계열은 ARMA 모형과 같이 정상 시계열을 가정하는 시계열 모형에 의한 설명에 적합하지 않습니다. 추세 및/또는 계절성을 제거하면 정상 차분 계열이 생성되고 안정성을 가정한 모형을 사용하여 계열을 설명할 수 있습니다.
그림 18.5 차분 규격 창
"차분 규격" 창을 사용하여 비계절 차분 차수(d), 계절 차분 차수(D) 및 기간별 관측값 수(s)를 지정할 수 있습니다. 차분 차수의 값을 0으로 선택하면 해당 유형의 차분이 없다는 것을 나타냅니다. 차분 연산을 지정하고 추정을 클릭할 때마다 보고서 창에 새 "차분" 보고서가 표시됩니다. 자세한 내용은 시계열 플랫폼의 추가 예에서 확인하십시오.
분해
(시작 창에서 "홀드백에 대한 예측" 또는 "Box-Cox 변환 사용"을 선택한 경우에는 사용 불가능) 분해 방법 하위 메뉴를 표시합니다. 시계열 데이터 분해는 시계열에서 선형 추세와 계절 주기를 분리하고 제거합니다. 이렇게 하면 모형 추정에 도움이 될 수 있습니다. 세 가지 분해 옵션이 제공됩니다.
선형 추세 제거
선형 회귀 모형을 사용하여 시계열의 선형 추세를 추정하고 데이터에서 선형 추세를 제거합니다. 추세제거 계열에 대한 시계열 보고서가 선형 추세 정보와 함께 보고서 창에 추가됩니다. 자세한 내용은 시계열 보고서 및 선형 추세 보고서에서 확인하십시오.
순환 제거
단일 코사인파를 사용하여 시계열의 순환 성분을 추정한 후 데이터에서 순환 성분을 제거합니다. "순환 제거" 옵션을 선택하면 "순환 정의" 대화상자가 나타납니다. 이 대화상자 창에서 순환별 단위 수를 지정하고 데이터에서 상수를 뺄지 여부를 나타낼 수 있습니다. 순환제거 계열에 대한 시계열 보고서가 순환 정보와 함께 보고서 창에 추가됩니다. 자세한 내용은 시계열 보고서 및 순환 보고서에서 확인하십시오.
X11
미국 인구조사국(US Bureau of the Census)에서 개발한 X-11 방법을 사용하여 추세 및 계절 효과를 제거합니다(Shiskin et. al. 1967 연구 자료 참조). X-11 방법에 대한 자세한 내용은 X-11 분해에 대한 통계 상세 정보에서 확인하십시오. 이 옵션을 선택하면 "분해 유형 선택" 대화상자가 나타납니다. 이 대화상자 창에서 승법 또는 가법 X-11 조정을 지정할 수 있습니다. 확인을 클릭하면 X11 보고서가 보고서 창에 추가됩니다. 자세한 내용은 X11 보고서에서 확인하십시오.
X11 옵션은 월별 또는 분기별 데이터에만 사용할 수 있습니다. X, 시간 ID 열에 공백이나 결측값 없이 월 또는 분기별로 일정한 간격의 숫자 값이 포함되어야 합니다. 이러한 요구 사항을 충족하지 않는 시간 열에 대해 X11을 요청하면 JMP에서 오류가 반환됩니다. X11 분석에 적절한 시간 열의 예는 적절한 시간 ID 열 생성에서 확인하십시오.
참고: 선형 추세 제거 또는 순환 제거 옵션을 선택하면 추세제거 또는 순환제거 데이터가 포함된 열이 데이터 테이블에 추가됩니다. 이 열이 데이터 테이블에 이미 있는 경우 옵션을 선택하면 자동으로 기존 열을 덮어씁니다.
팁: 일반적으로 선형 추세를 제거한 후 12개월 주기와 같은 긴 주기를 제거하여 분해를 시작합니다. 그런 다음 6개월 주기와 같은 짧은 주기를 제거할 수 있습니다.
시차 그림 표시
시간 t의 관측값이 Y 축에 있고 시간 t +/- p의 관측값이 X 축에 있는 그림을 표시하거나 숨깁니다. +/- p는 시차라고 합니다. 이 그림은 시간 t의 관측값이 시간 t +/- p의 다른 관측값과 어떤 관계가 있는지 확인하는 데 유용합니다. 그러나 그림에 구조가 있으면 시간에 따라 관측값 사이에 어떤 관계가 있음을 나타냅니다. 구조를 식별하면 시계열 모형을 생성할 때 도움이 됩니다.
Box-Cox 변환 그림 표시
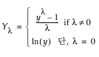
(시작 창에서 "Box-Cox 변환 사용"을 지정한 경우에는 사용 불가능) "Box-Cox 변환 그림"을 표시하거나 숨깁니다. Box-Cox 변환은 람다 모수(l)를 기반으로 하는 멱 변환이며 다음 계산식을 사용합니다.

"Box-Cox 변환 그림"에서는 변환된 시계열 그래프와 람다 모수(l) 설정 옵션을 보여 줍니다. "람다" 상자에는 모수의 현재 값이 표시됩니다. "람다" 슬라이더를 사용하여 모수 값을 변경할 수도 있으며, 그러면 그림이 자동으로 업데이트됩니다. "낮음" 및 "높음" 상자는 슬라이더 범위를 설정합니다.
팁: "Box-Cox 변환 그림"을 사용하여 다양한 람다 값에 대해 변환된 시계열을 확인할 수 있습니다. 값을 결정한 후에는 분석을 다시 시작하고 Box-Cox 변환 사용을 선택한 후 "Box-Cox에 대한 람다" 옆에 원하는 람다 값을 입력합니다. 이렇게 하면 변환된 계열에 대해 시계열 플랫폼이 실행됩니다.
교차 상관
("전이 함수 분석"의 빨간색 삼각형 메뉴에서만 사용 가능) 보고서에 교차 상관 그림을 표시하거나 숨깁니다. 그림의 길이는 자기상관 그림 길이의 두 배 또는 2 ´ ACF 길이 + 1입니다. 이 그림에는 출력 계열 대 모든 입력 계열 그림이 숫자 형식과 그래픽 형식으로 포함됩니다. 파란색 선은 2 표준 오차를 나타냅니다.
참고: 교차 상관 그림의 경우 귀무가설 하의 표준 오차가 1/sqrt(n - k)로 계산됩니다. 여기서 n은 비결측 데이터 값의 수이고 k는 자기상관 시차 수입니다.
사전백색화
("입력 계열"의 빨간색 삼각형 메뉴에서만 사용 가능) 사전백색화 차수를 설정할 수 있는 "사전백색화 규격" 창을 표시합니다. 사전백색화는 전이 함수 모형을 식별하는 데 사용되는 기법입니다. 이 기법은 잔차가 백색잡음과 동일하도록 ARIMA 모형을 입력 계열에 적합시키는 방법을 사용합니다. 그런 다음 동일한 모형을 사용하여 출력 계열을 추정합니다. 필터링된 입력 계열과 필터링된 출력 계열 사이의 교차 상관을 사용하여 전이 함수 모형에 적절한 시차를 결정할 수 있습니다. 사전백색화에 대한 자세한 내용은 Box et al. (1994)에서 확인하십시오.