분석 > 신뢰성 및 생존 > 수명 분포 적합을 선택하여 수명 분포 적합 플랫폼을 시작합니다.
그림 4.4 수명 분포 적합 시작 창
"열 선택"의 빨간색 삼각형 메뉴에 포함된 옵션에 대한 자세한 내용은 JMP 사용의 열 필터 메뉴에서 확인하십시오.
수명 분포 적합 시작 창에는 다음 옵션이 포함되어 있습니다.
Y, 사건 발생 시간
사건 발생 시간(예: 고장 시간) 또는 중도절단 시간을 식별합니다. 구간 중도절단을 사용하는 경우 두 개의 Y 변수를 지정합니다. 여기서 한 Y 변수는 각 유닛에 대한 하한을 제공하고 다른 Y 변수는 상한을 제공합니다. 중도절단에 대한 자세한 내용은 사건 그림에서 확인하십시오.
X
가속 요인을 식별합니다.
중도절단
중도절단된 관측값을 식별합니다. "열 선택" 목록 아래의 "중도절단 코드" 메뉴에서 오른쪽 중도절단된 관측값을 식별하는 값을 선택합니다. 중도절단 열은 하나의 Y가 입력된 경우에만 사용됩니다.
빈도
유닛이 여러 개인 경우 빈도 또는 관측값 수를 식별합니다. 0 또는 양의 정수 값은 여러 항목이 기록된 경우 각 행의 관측값 빈도 또는 개수를 나타냅니다.
기준
변수의 각 수준에 대한 개별 분석으로 구성된 보고서를 생성하는 열을 식별합니다.
중도절단 코드
오른쪽 중도절단된 관측값을 지정하는 중도절단 열의 값을 식별합니다. 중도절단 열이 선택되면 JMP는 자동으로 중도절단 코드를 감지하여 상자에 표시하려고 시도합니다. 이를 변경하려면 빨간색 삼각형을 클릭하고 값 목록에서 선택합니다. 상자에 다른 값을 입력할 수도 있습니다. 중도절단 열에 "값 라벨" 열 특성이 포함된 경우 값 라벨이 값 목록에 나타납니다. 결측값은 분석에서 제외됩니다.
관계
사건 발생 시간 변수와 가속 요인 간의 관계를 식별합니다. Table 4.1에서는 각 관계에 대한 모형을 정의합니다.
관계 | 모형 |
|---|---|
아레니우스 섭씨 | μ = b0 + b1 * 11604.5181215503/(X + 273.15) |
아레니우스 화씨 | μ = b0 + b1 * 11604.5181215503/((X + 459.67)/1.8) |
아레니우스 켈빈 | μ = b0 + b1 * 11604.5181215503/X |
역 멱 | μ = b0 + b1 * log(X) |
선형 | μ = b0 + b1 * X |
로그 | μ = b0 + b1 * log(X) |
로짓 | μ = b0 + b1 * log(X/(1 - X)) |
역수 | μ = b0 + b1/X |
제곱근 | μ = b0 + b1 * sqrt(X) |
Box-Cox | μ = b0 + b1 * BoxCox(X) |
사용자 정의 | 사용자가 정의한 m와 s |
효과 없음 | μ가 X의 모든 수준에 대해 같은 값을 갖도록 지정 |
위치 | μ가 X의 모든 수준에 대해 다른 값을 갖도록 지정 |
위치 및 척도 | μ와 σ 둘 다 X의 모든 수준에 대해 다른 값을 갖도록 지정(X를 기준 변수로 사용하여 적합된 수명 분포와 같음) |
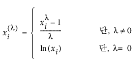
Box-Cox를 선택하면 "사용 조건" 옵션 아래에 텍스트 편집 상자가 나타납니다. 이 상자를 사용하여 람다 값을 지정합니다. 지정된 l에 대한 BoxCox(X) 변환은 다음과 같이 정의됩니다.

모형에 사용자 정의 관계를 사용하려면 사용자 정의 관계의 내용을 참조하십시오.
내포 모형 검정
보고서 창에 비모수 중첩 그림, 내포 모형 검정 및 다중 확률도를 추가합니다.
사용 조건
가속 요인의 설명 변수 X에 대한 값을 입력할 수 있습니다. 플랫폼을 시작한 후 "수명 분포 적합"의 빨간색 삼각형 메뉴에서 "시간 가속 사용 조건 설정" 옵션을 사용하여 사용 조건 값을 설정할 수도 있습니다.
분포
X 변수와 Y 변수 간의 관계를 모델링하는 데 사용되는 분포(Weibull, 로그 정규, 로그로지스틱, Frechet, SEV, 정규, 로지스틱, LEV 또는 지수 분포)를 지정합니다. "로그 정규"가 기본 설정입니다.
신뢰 구간 방법 선택
모수에 대한 신뢰 구간을 계산하는 데 사용되는 방법을 지정합니다. Wald 또는 가능도 방법 중에서 선택합니다. Wald는 근사 방법이며 더 빠르게 실행됩니다. 가능도 방법은 더 정확한 모수를 제공하지만 계산하는 데 시간이 오래 걸립니다. "Wald" 방법이 기본 설정입니다.
참고: "신뢰 구간 방법" 환경 설정을 사용하면 가능도 방법을 기본 신뢰 구간 방법으로 선택할 수 있습니다. 환경 설정 > 플랫폼 > 수명 분포 적합에서 이 환경 설정을 변경할 수 있습니다.