모형 적합 플랫폼에서 명목형 요인은 설계 행렬에 대한 표시 변수로 변환됩니다. SAS GLM은 각 명목형 수준에 대한 표시자 열을 생성합니다. JMP는 마지막 수준을 제외한 각 명목형 수준에 대해 동일한 표시자 열을 생성합니다. 마지막 명목형 수준이 나오면 요인의 다른 모든 열에서 하나가 빠집니다. 아래와 같이 GLM 및 JMP에 대해 각각 세 가지 수준이 코드화된 명목형 요인 A를 예로 들어보겠습니다.
|
|
GLM |
JMP |
|||
|
A |
A1 |
A2 |
A3 |
A13 |
A23 |
|
A1 |
1 |
0 |
0 |
1 |
0 |
|
A2 |
0 |
1 |
0 |
0 |
1 |
|
A3 |
0 |
0 |
1 |
–1 |
–1 |
GLM의 선형 모형 설계 행렬에는 열 사이에 선형 종속성이 있으며 최소 제곱 해는 일반화 역행렬을 사용합니다. 선택된 해는 A3 모수가 0으로 설정되게 합니다.
JMP의 선형 모형 설계 행렬은 결측 셀 또는 기타 부수적 공선성이 있는 경우를 제외하고 완전 계수(full rank)가 되도록 코드화됩니다. 마지막 수준에 대한 A 효과의 모수는 다른 수준의 음의 합이므로 모든 효과 수준에서 모수의 합이 0이 됩니다.
참고: 명목형 수준의 모수는 해당 수준에 대한 예측 반응과 모든 수준에 대한 평균 예측 반응 간의 차이로 해석됩니다.
요인 수준에 대한 설계 열은 해당 요인 수준의 0-1 표시자에서 마지막 수준의 표시자를 뺀 값으로 생성됩니다. 이 코딩으로 인해 위의 모수 해석이 가능합니다.
|
JMP 모수 보고서 |
해석 방법 |
설계 열 코딩 |
|
절편 |
모든 수준에 대한 평균 |
1´ |
|
A[1] |
|
(A==1) – (A==3) |
|
A[2] |
|
(A==2) – (A==3) |
GLM과 JMP에서는 교차되는 요인의 설계 열 행에 직접곱을 적용하여 교호작용 효과를 생성합니다. 예를 들어 다음 GLM 코드는
PROC GLM;
CLASS A B;
MODEL A B A*B;
아래와 같은 설계 행렬을 생성합니다.
|
|
|
A |
B |
AB |
||||||||||||
|
A |
B |
1 |
2 |
3 |
1 |
2 |
3 |
11 |
12 |
13 |
21 |
22 |
23 |
31 |
32 |
33 |
|
A1 |
B1 |
1 |
0 |
0 |
1 |
0 |
0 |
1 |
0 |
0 |
0 |
0 |
0 |
0 |
0 |
0 |
|
A1 |
B2 |
1 |
0 |
0 |
0 |
1 |
0 |
0 |
1 |
0 |
0 |
0 |
0 |
0 |
0 |
0 |
|
A1 |
B3 |
1 |
0 |
0 |
0 |
0 |
1 |
0 |
0 |
1 |
0 |
0 |
0 |
0 |
0 |
0 |
|
A2 |
B1 |
0 |
1 |
0 |
1 |
0 |
0 |
0 |
0 |
0 |
1 |
0 |
0 |
0 |
0 |
0 |
|
A2 |
B2 |
0 |
1 |
0 |
0 |
1 |
0 |
0 |
0 |
0 |
0 |
1 |
0 |
0 |
0 |
0 |
|
A2 |
B3 |
0 |
1 |
0 |
0 |
0 |
1 |
0 |
0 |
0 |
0 |
0 |
1 |
0 |
0 |
0 |
|
A3 |
B1 |
0 |
0 |
1 |
1 |
0 |
0 |
0 |
0 |
0 |
0 |
0 |
0 |
1 |
0 |
0 |
|
A3 |
B2 |
0 |
0 |
1 |
0 |
1 |
0 |
0 |
0 |
0 |
0 |
0 |
0 |
0 |
1 |
0 |
|
A3 |
B3 |
0 |
0 |
1 |
0 |
0 |
1 |
0 |
0 |
0 |
0 |
0 |
0 |
0 |
0 |
1 |
JMP 모형 적합 명령을 사용하고 A 및 B 열에 대한 요인 모형을 요청하면 다음과 같은 설계 행렬이 생성됩니다. 이 행렬의 A13은 이전 행렬의 A1–A3입니다. 그러나 A13B13은 현재 행렬에서 A13*B13입니다.
|
|
|
A |
B |
|
|
|
|
||
|
A |
B |
13 |
23 |
13 |
23 |
A1 B1 |
A1 B1 |
A1 B1 |
A1 B1 |
|
A1 |
B1 |
1 |
0 |
1 |
0 |
1 |
0 |
0 |
0 |
|
A1 |
B2 |
1 |
0 |
0 |
1 |
0 |
1 |
0 |
0 |
|
A1 |
B3 |
1 |
0 |
–1 |
–1 |
–1 |
–1 |
0 |
0 |
|
A2 |
B1 |
0 |
1 |
1 |
0 |
0 |
0 |
1 |
0 |
|
A2 |
B2 |
0 |
1 |
0 |
1 |
0 |
0 |
0 |
1 |
|
A2 |
B3 |
0 |
1 |
–1 |
–1 |
0 |
0 |
–1 |
–1 |
|
A3 |
B1 |
–1 |
–1 |
1 |
0 |
–1 |
0 |
–1 |
0 |
|
A3 |
B2 |
–1 |
–1 |
0 |
1 |
0 |
–1 |
0 |
–1 |
|
A3 |
B3 |
–1 |
–1 |
–1 |
–1 |
1 |
1 |
1 |
1 |
JMP 코딩을 사용하면 수준 수가 적은 요인의 교호작용 문제에 대해 메모리 및 계산 시간을 절약할 수 있습니다.
3x3 교차 모형에 대해 모수에 관한 셀의 기대값은 다음과 같습니다.
|
|
B1 |
B2 |
B3 |
|---|---|---|---|
|
A1 |
|
|
|
|
A2 |
|
|
|
|
A3 |
|
|
|
GLM은 모형에 없는 것을 기준으로 우측 검정을 판별하므로 GLM의 내포 효과는 교호작용 효과와 동일하게 코드화됩니다. 모형에 포함되지 않은 효과는 포함하는 교호작용(내포와 동등) 효과에 의해 흡수될 수 있습니다.
JMP의 내포 효과는 다르게 코드화됩니다. JMP는 괄호로 묶은 항을 각 그룹에 대한 그룹화 항으로 사용합니다. 내포하는 항의 각 수준 조합에 대해 JMP는 괄호 밖의 효과를 생성합니다. 바깥쪽 항의 수준은 내포하는 항의 전체 수준에서 일치시킬 필요가 없습니다. 각 내포 수준은 설계 열 및 모수 생성과 관련하여 별도로 간주됩니다.
|
|
|
|
B(A) |
||||||
|
|
|
|
A1 |
A1 |
A2 |
A2 |
A3 |
A3 |
|
|
A |
B |
A13 |
A23 |
B13 |
B23 |
B13 |
B23 |
B13 |
B23 |
|
A1 |
B1 |
1 |
0 |
1 |
0 |
0 |
0 |
0 |
0 |
|
A1 |
B2 |
1 |
0 |
0 |
1 |
0 |
0 |
0 |
0 |
|
A1 |
B3 |
1 |
0 |
–1 |
–1 |
0 |
0 |
0 |
0 |
|
A2 |
B1 |
0 |
1 |
0 |
0 |
1 |
0 |
0 |
0 |
|
A2 |
B2 |
0 |
1 |
0 |
0 |
0 |
1 |
0 |
0 |
|
A2 |
B3 |
0 |
1 |
0 |
0 |
–1 |
–1 |
0 |
0 |
|
A3 |
B1 |
–1 |
–1 |
0 |
0 |
0 |
0 |
1 |
0 |
|
A3 |
B2 |
–1 |
–1 |
0 |
0 |
0 |
0 |
0 |
1 |
|
A3 |
B3 |
–1 |
–1 |
0 |
0 |
0 |
0 |
–1 |
–1 |
최소 제곱 평균은 다른 모든 요인을 중립 값으로 설정한 후 일부 수준 조합에 해당하는 예측값입니다. 직접 배치된 연속형 회귀변수에 대한 중립 값은 표본 평균으로 정의됩니다. 연관이 없는 명목형 요인이 포함된 효과의 중립 값은 전체 수준에 적용된 평균 효과로 정의됩니다(JMP 코딩에서 모두 0이 됨). 순서형 요인은 다른 중립 값을 사용합니다(순서형 최소 제곱 평균 참조). 최소 제곱 평균을 추정하지 못할 수 있으며, 이에 해당하는 경우 "추정할 수 없음"으로 표시됩니다. JMP의 최소 제곱 평균은 가중치가 사용되는 경우를 제외한 모든 경우에서 SAS PROC GLM의 최소 제곱 평균과 일치합니다(Goodnight and Harvey 1978). 가중치 변수가 사용되면 중립 값에 대해 JMP는 가중 평균을 사용하고 SAS PROC GLM은 비가중 평균을 사용합니다.
일반적으로 JMP에서 생성하는 가설 검정은 SAS PROC GLM(Type III 및 IV 가설) 같은 대부분의 다른 신뢰할 수 있는 프로그램의 가설 검정과 일치합니다. 다음 두 섹션에서는 차이가 있는 경우에 대해 설명합니다.
SAS PROC GLM에서 Type III 및 IV에 대한 가설 검정은 일반 형식의 추정 가능한 함수를 사용하고, 관심 효과 및 관심 효과에 있는 효과만 포함하는 함수를 검색하여 생성됩니다(Goodnight 1978).
동일한 검정이 JMP에서 생성됩니다. 그러나 파라미터화가 다르므로 해당 효과의 모든 모수에 대한 결합 검정을 수행하여 효과를 검정할 수 있습니다(일단 완전 계수 가정). 포함하는 교호작용 모수는 검정과 관련이 없습니다. 코딩으로 인해 이러한 모수는 포함된 효과에 대한 검정과 관련이 없기 때문입니다.
결측 셀 또는 기타 특이성이 있는 경우 JMP 검정은 GLM 검정과 다릅니다. 아래에서 두 검정의 차이에 대해 설명합니다.
• JMP 검정은 최소한 주효과에 대해 최소 제곱 평균이 다른지를 검정하는 것과 동등합니다. 최소 제곱 평균을 추정할 수 없는 경우에는 검정에 일부 비교를 포함할 수 없으므로 자유도가 손실됩니다. 교호작용의 경우 JMP는 최소 제곱 평균의 차이가 모형의 포함하는 효과로 설명되는 주변 패턴보다 큰지를 검정합니다.
• JMP는 해당 효과가 있는 모형의 SSE를 해당 효과가 없는 모형의 SSE와 비교하여 효과를 검정합니다. JMP는 이 방법이 타당하도록 모형을 파라미터화합니다.
• JMP는 셀 평균 파라미터화가 아니라 구조적 파라미터화를 사용하지만 Hocking(1985, pp. 80–89, 163–166)에서 설명하는 유효 가설 검정을 구현합니다. 유효 가설 검정은 효과에 대해 원하는 가설로 시작하여 "가능한 한 많은" 가설을 포함합니다. 물론 포함하는 효과에 결측 셀이 있으면 완전 가설을 추정할 수 없으므로 이 검정에서 가설의 일부를 제거해야 합니다. 유효 가설은 완전 가설을 최대한 적게 제거합니다.
• JMP와 GLM 및 기타 프로그램에서 결측 셀의 존재와 관련된 가설 검정 간의 차이는 흥미로운 검정으로 간주되지 않습니다. 교호작용이 유의하면 포함된 주효과에 대한 검정은 관심 대상이 아닙니다. 교호작용이 유의하지 않으면 모형에서 해당 교호작용을 항상 제거할 수 있습니다. 일부 검정은 고유하지도 않습니다. 결측 셀 설계의 수준에 라벨을 다시 지정하면 GLM Type IV 검정이 변경될 수 있습니다.
다음 섹션에서는 이 항목에 대한 내용을 더 자세히 설명합니다.
설계 열 사이의 선형 종속성을 가정해 보겠습니다. JMP 코딩을 사용하면 데이터가 부족하여 추정이 필요한 조합을 작성할 수 없거나 효과의 교락 또는 공선성 유형이 있는 경우 외에는 선형 종속성 문제가 발생하지 않습니다.
선형 종속성이 있으면 모수에 대한 최소 제곱 해가 고유하지 않을 수 있으며 일부 가설 검정을 수행할 수 없습니다. 설계 열이 모형의 이전 효과에 선형 종속되므로 JMP는 모수 추정값을 순서대로 0으로 설정하는 전략을 선택합니다. 영점화되는 모수 추정값과 추정 불가능한 모수 추정값을 보여 주는 특수 열이 보고서에 포함됩니다. 별도의 특이성 보고서에는 선형 종속성이 표시됩니다.
특이성이 있는 경우 JMP에서 검정하는 가설이 GLM에서 선택하는 가설과 다를 수 있습니다. 일반적으로 JMP는 검정을 더 높은 주변화 수준으로 유지하므로 GLM보다 검정 자유도가 적습니다. 즉, JMP 검정은 해당 효과에 대한 전체 최소 제곱 평균의 검정에 해당하지만 GLM 검정은 이 특성이 항상 적용되지는 않습니다.
예를 들어 교호작용이 있는 이원 모형과 하나의 결측 셀을 가정해 봅니다. 여기서 A의 수준은 세 개, B의 수준은 두 개, A3B2는 결측 셀입니다.
|
A B |
A1 |
A2 |
B1 |
A1B1 |
A2B1 |
|
|---|---|---|---|---|---|---|
|
A1 B1 |
1 |
0 |
1 |
1 |
0 |
|
|
A2 B1 |
0 |
1 |
1 |
0 |
1 |
|
|
A3 B1 |
–1 |
–1 |
1 |
–1 |
–1 |
|
|
A1 B2 |
1 |
0 |
–1 |
–1 |
0 |
|
|
A2 B2 |
0 |
1 |
–1 |
0 |
–1 |
|
|
A3 B2 |
–1 |
–1 |
–1 |
1 |
1 |
이 교호작용이 없는 경우를 가정해 봅니다. |
각 셀의 기대값은 다음과 같습니다.
|
|
B1 |
B2 |
|
A1 |
|
|
|
A2 |
|
|
|
A3 |
|
|
데이터를 포함하는 셀에 추정 가능한 기대값이 있는 것은 분명합니다. 결측 셀에는 추정할 수 없는 기대값이 있습니다. 사실상 기대값은 특이성 보고서에 있는 설계 열의 선형 결합입니다.

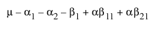
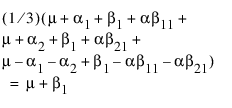
B1과 B2의 최소 제곱 평균을 비교하는 검정을 생성하려는 경우를 가정해 보겠습니다. 이 예에서 위의 표에 있는 행 평균은 이러한 최소 제곱 평균을 제공합니다.
LSM(B1) = 
LSM(B2) = 
LSM(B1) – LSM(B2) = 
이것은 b1 모수에 대한 검정이 최소 제곱 평균이 동일한지 검정하는 것과 동등하다는 것을 보여 줍니다. 그러나 b1은 추정할 수 없으므로 검정이 불가능하며, 이는 검정에 대한 자유도가 없다는 의미입니다.
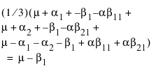
이제 A 수준에 대한 최소 제곱 평균 검정을 생성합니다.
LSM(A1) = 
LSM(A2) = 
LSM(A3) = 
LSM(A1) – LSM(A3) = 
LSM(A2) – LSM(A3) = 
이 중에서 어느 것도 추정할 수 없지만 추정 가능한 다른 비교가 있습니다. 결측 셀이 없는 A 열 두 개를 비교할 수 있습니다.
LSM(A1) – LSM(A2) = 
이 조합은 효과에 두 개의 모수가 있지만 자유도가 1인 검정을 사용하여 JMP에서 검정됩니다.
내적과 특이성 조합을 사용하고 이 값이 0인지 검토하여 추정 가능성을 확인할 수 있습니다.
|
|
특이성 |
조합 |
|
모수 |
조합 |
검정 |
|
m |
1 |
0 |
|
a1 |
–1 |
1 |
|
a2 |
–1 |
–1 |
|
b1 |
–1 |
0 |
|
ab11 |
1 |
0 |
|
ab21 |
1 |
0 |
교호작용에 대한 결측 셀의 설계 열은 항상 주효과(명목형 요인의 경우)의 자유도를 제거하는 것으로 나타났습니다. 따라서 최소 제곱 평균의 추정 불가능과 이러한 최소 제곱 평균에 해당하는 효과를 검정하기 위한 자유도의 손실 사이에는 직접적인 관계가 있습니다.
이 내용을 GLM의 방식과 비교해 볼 수 있습니다. 결측 셀이 없을 때는 GLM과 JMP에서 수행하는 검정이 동일합니다. 즉, 두 방법 모두 최소 제곱 평균이 동일한지 효과적으로 검정합니다. 그러나 GLM은 특이성이 발견되면 Type III인지 아니면 Type IV인지에 따라 이러한 셀을 다른 방식으로 처리합니다. Type IV의 경우 찾을 수 있는 추정 가능한 조합을 검색합니다. 이는 고유하지 않을 수 있으며 수준을 재정렬하면 다른 결과를 얻을 수 있습니다. Type III의 경우 고유한 검정을 얻기 위해 추정 가능한 함수의 직교화를 수행합니다. 그러나 셀 평균에 관해 검정을 해석하기가 매우 어려울 수 있습니다.
JMP 방식은 처음에는 GLM을 사용할 때보다 자유도 손실이 더 많아 곤란할 수 있지만 다음과 같은 몇 가지 장점이 있습니다.
1. 검정이 이론적으로 LSM에 연결됩니다.
2. 재파라미터화된 모형의 제곱합 감소를 사용하여 검정을 쉽게 계산할 수 있습니다.
3. 검정이 Hocking의 "유효 가설 검정(Effective Hypothesis Tests)"과 일치합니다.
4. 검정은 전체 주변 검정입니다. 즉, 검정은 교호작용의 다른 효과를 완벽하게 가로질러 수행하게 됩니다.
마지막으로 몇 가지 세부 사항을 설명합니다. A3B2가 결측 셀인 이전 예에서 셀 평균의 기대값 그래프를 생각해 봅니다.
그림 A.1 셀 평균의 기대값
이 그래프에서는 결측 셀이 있는 셀 평균의 기대값을 보여 줍니다. A1 및 A2 셀의 평균은 B 수준에 대해 프로파일링됩니다. JMP 방식을 사용할 경우 결측 셀의 평균은 교호작용 항에서 허용하는 무엇이든 될 수 있으므로 A3B2 결측 셀이 있으면 B 주효과를 검정할 수 없습니다. 결측 셀의 평균이 표시된 값보다 높으면 B 효과 검정이 유의할 가능성이 큽니다. 값이 더 낮으면 검정이 유의하지 않을 가능성이 큽니다. 요점은 사용자가 모른다는 것입니다. 최소 제곱 평균이 추정 불가능한 것으로 선언되는 것이 이 경우에 해당됩니다. 효과에 대한 가설도 마찬가지로 사용자가 알지 못한다는 것을 가정해야 합니다.
셀 부분집합에 대한 차이와 관련된 가설을 검정하려는 경우 GLM Type IV가 유용합니다. JMP에서는 많은 계산을 통해 효과를 분할하거나 대비를 사용하여 이러한 검정을 직접 생성해야 합니다.
GLM은 JMP와 다르게 작동하며 결측 셀이 있을 때는 다른 가설 검정을 생성합니다. 특히 GLM은 JMP와 달리 효과에서 내포와 교차의 차이를 인식하지 못합니다. A, B(A), C(A B)라는 3계층의 내포 효과가 있고 지분 설계의 단계에서 수준 수가 다른 경우를 가정해 보겠습니다.
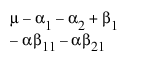
Figure A.10에서는 GLM 모수에 관한 주효과 A의 검정을 보여 줍니다. 첫 번째 열 집합은 JMP에서 수행한 검정입니다. 두 번째 열 집합은 GLM Type IV에서 수행한 검정입니다. 세 번째 열 집합은 JMP의 검정과 동등한 검정이며 처음 두 열에 다음 행렬을 곱한 결과입니다.

이는 GLM 검정과 유사합니다. 마지막 열 집합은 GLM Type III 검정입니다. 검정에서 포함하는 효과를 분배하는 방식에 차이가 있습니다. JMP에서는 하향식 계층 구조입니다. GLM Type IV에서는 검정이 상향식입니다. 실제로는 검정 통계량이 유사한 경우가 많습니다.
모수 | A에 대한 JMP 검정 | A에 대한 GLM-IV 검정 | JMP 회전 검정 | A에 대한 GLM-III 검정 | ||||
u | 0 | 0 | 0 | 0 | 0 | 0 | 0 | 0 |
a1 | 0.6667 | -0.3333 | 1 | 0 | 1 | 0 | 1 | 0 |
a2 | –1 | 0.6667 | 0 | 1 | 0 | 1 | 0 | 1 |
a3 | –1 | -0.3333 | -1 | -1 | -1 | -1 | -1 | -1 |
|
|
|
|
|
|
|
|
|
a1b1 | 0.1667 | -0.0833 | 0.2222 | 0 | 0.25 | 0 | 0.2424 | 0 |
a1b2 | 0.1667 | -0.0833 | 0.3333 | 0 | 0.25 | 0 | 0.2727 | 0 |
a1b3 | 0.1667 | -0.0833 | 0.2222 | 0 | 0.25 | 0 | 0.2424 | 0 |
a1b4 | 0.1667 | -0.0833 | 0.2222 | 0 | 0.25 | 0 | 0.2424 | 0 |
|
|
|
|
|
|
|
|
|
a2b1 | -0.1667 | 0.3333 | 0 | 0.5 | 0 | 0.5 | 0 | 0.5 |
a2b2 | -0.1667 | 0.3333 | 0 | 0.5 | 0 | 0.5 | 0 | 0.5 |
|
|
|
|
|
|
|
|
|
a3b1 | -0.1111 | -0.1111 | -0.3333 | -0.3333 | -0.3333 | -0.3333 | -0.3333 | -0.3333 |
a3b2 | -0.1111 | -0.1111 | -0.3333 | -0.3333 | -0.3333 | -0.3333 | -0.3333 | -0.3333 |
a3b3 | -0.1111 | -0.1111 | -0.3333 | -0.3333 | -0.3333 | -0.3333 | -0.3333 | -0.3333 |
|
|
|
|
|
|
|
|
|
a1b1c1 | 0.0833 | -0.0417 | 0.1111 | 0 | 0.125 | 0 | 0.1212 | 0 |
a1b1c2 | 0.0833 | -0.0417 | 0.1111 | 0 | 0.125 | 0 | 0.1212 | 0 |
a1b2c1 | 0.0556 | -0.0278 | 0.1111 | 0 | 0.0833 | 0 | 0.0909 | 0 |
a1b2c2 | 0.0556 | -0.0278 | 0.1111 | 0 | 0.0833 | 0 | 0.0909 | 0 |
a1b2c3 | 0.0556 | -0.0278 | 0.1111 | 0 | 0.0833 | 0 | 0.0909 | 0 |
a1b3c1 | 0.0833 | -0.0417 | 0.1111 | 0 | 0.125 | 0 | 0.1212 | 0 |
a1b3c2 | 0.0833 | -0.0417 | 0.1111 | 0 | 0.125 | 0 | 0.1212 | 0 |
a1b4c1 | 0.0833 | -0.0417 | 0.1111 | 0 | 0.125 | 0 | 0.1212 | 0 |
a1b4c2 | 0.0833 | -0.0417 | 0.1111 | 0 | 0.125 | 0 | 0.1212 | 0 |
|
|
|
|
|
|
|
|
|
a2b1c1 | -0.0833 | 0.1667 | 0 | 0.25 | 0 | 0.25 | 0 | 0.25 |
a2b1c2 | -0.0833 | 0.1667 | 0 | 0.25 | 0 | 0.25 | 0 | 0.25 |
a2b2c1 | -0.0833 | 0.1667 | 0 | 0.25 | 0 | 0.25 | 0 | 0.25 |
a2b2c2 | -0.0833 | 0.1667 | 0 | 0.25 | 0 | 0.25 | 0 | 0.25 |
|
|
|
|
|
|
|
|
|
a3b1c1 | -0.0556 | -0.0556 | -0.1667 | -0.1667 | -0.1667 | -0.1667 | -0.1667 | -0.1667 |
a3b1c2 | -0.0556 | -0.0556 | -0.1667 | -0.1667 | -0.1667 | -0.1667 | -0.1667 | -0.1667 |
a3b2c1 | -0.0556 | -0.0556 | -0.1667 | -0.1667 | -0.1667 | -0.1667 | -0.1667 | -0.1667 |
a3b2c2 | -0.0556 | -0.0556 | -0.1667 | -0.1667 | -0.1667 | -0.1667 | -0.1667 | -0.1667 |
a3b3c1 | -0.0556 | -0.0556 | -0.1667 | -0.1667 | -0.1667 | -0.1667 | -0.1667 | -0.1667 |
a3b3c2 | -0.0556 | -0.0556 | -0.1667 | -0.1667 | -0.1667 | -0.1667 | -0.1667 | -0.1667 |
JMP 파라미터화 관점에서 A에 대한 검정은 다음과 같습니다.
모수 | GLM–IV 검정 | JMP 검정 | ||
m | 0 | 0 | 0 | 0 |
a13 | 2 | 1 | 1 | 0 |
a23 | 1 | 2 | 0 | 1 |
a1:b14 | 0 | 0 | 0 | 0 |
a1:b24 | 0.11111 | 0 | 0 | 0 |
a1:b34 | 0 | 0 | 0 | 0 |
a2:b12 | 0 | 0 | 0 | 0 |
a3:b13 | 0 | 0 | 0 | 0 |
a3:b23 | 0 | 0 | 0 | 0 |
a1b1:c12 | 0 | 0 | 0 | 0 |
a1b2:c13 | 0 | 0 | 0 | 0 |
a1b2:c23 | 0 | 0 | 0 | 0 |
a1b3:c12 | 0 | 0 | 0 | 0 |
a1b4:c12 | 0 | 0 | 0 | 0 |
a2b1:c13 | 0 | 0 | 0 | 0 |
a2b2:c12 | 0 | 0 | 0 | 0 |
a3b1:c12 | 0 | 0 | 0 | 0 |
a3b2:c12 | 0 | 0 | 0 | 0 |
a3b3:c12 | 0 | 0 | 0 | 0 |
JMP 관점에서 보면 GLM 검정은 a1b24 모수에 계수를 적용하여 약간 다릅니다.