각 "정규 혼합 군집 수" 보고서에서는 각 군집에 대해 다음과 같은 요약 통계량을 제공합니다.
• "군집 요약" 보고서에는 각 군집에 대한 관측값 수와 비율이 제공됩니다.
• "군집 평균" 보고서에는 각 군집에서 각 변수에 대한 관측값의 평균이 제공됩니다.
• "군집 표준편차" 보고서에는 각 군집에서 각 변수에 대한 관측값의 표준편차가 제공됩니다.
• "-1*로그 가능도" 테이블에는 음의 로그 가능도, BIC 및 AICc가 제공됩니다. 자세한 내용은 선형 모형 적합의 가능도, AICc 및 BIC에서 확인하십시오.
• "정규 혼합에 대한 상관" 보고서에는 각 군집에 대한 추정 상관 행렬이 제공됩니다.
각 "정규 혼합 군집 수" 보고서에는 다음과 같은 빨간색 삼각형 메뉴 항목이 포함되어 있습니다.
행렬도
데이터의 처음 두 주성분으로 표현된 점 및 군집의 그림을 군집 색상을 식별하는 범례와 함께 표시합니다. 군집 중심을 기준으로 원이 그려지고 원 크기는 군집 내의 개수에 비례합니다. 음영 영역은 평균 주위의 밀도 등고선입니다. 기본적으로 이 영역은 해당 군집의 관측값 중 90%가 속하는 위치를 나타냅니다(Mardia et al. 1980 참조). 그림 아래의 목록을 사용하여 그림 축을 다른 주성분으로 변경할 수 있습니다. 또는 화살표 버튼을 사용하여 가능한 모든 축 조합을 순환할 수 있습니다. 군집 색상을 데이터 테이블에 저장하는 옵션도 그림 아래에 있습니다. 자세한 내용은 테이블에 색상 저장에서 확인하십시오. 고유값은 내림차순으로 표시됩니다.
참고: 행렬도에서는 항상 상관 행렬을 사용하여 주성분을 계산합니다.
행렬도 옵션
행렬도 모양을 제어하기 위한 옵션을 포함합니다.
행렬도 선 표시
행렬도 선을 표시합니다. 라벨이 지정된 선은 주성분으로 정의된 부분 공간에서 공변량의 방향을 표시합니다. 이러한 선은 각 변수와 각 주성분의 연관성 정도를 나타냅니다.
행렬도 선 위치
행렬도 선의 위치와 반지름 척도를 지정할 수 있습니다. 기본적으로 선은 점 (0,0)에서 시작됩니다. 그림에서 선을 드래그하거나 이 옵션을 사용하여 좌표를 지정할 수 있습니다. 반지름 척도 옵션을 사용하여 선이 더 잘 보이게 선 척도를 조정할 수도 있습니다.
행렬도 등고선 밀도
밀도 등고선에 대한 신뢰 수준을 지정할 수 있습니다. 기본 신뢰 수준은 90%입니다.
군집 표시
데이터 테이블의 행에 군집을 식별하는 표식을 할당합니다.
행렬도 3D
데이터의 3차원 행렬도를 표시합니다. 변수가 세 개 이상인 경우에만 사용할 수 있습니다.
평행 좌표 그림
각 군집에 대한 평행 좌표 그림을 생성합니다. 이 그림 보고서에는 데이터와 평균을 표시하거나 숨기는 옵션이 있습니다. 자세한 내용은 그래프 분석의 평행 그림에서 확인하십시오.
산점도 행렬
모든 Y 변수를 사용하여 산점도 행렬을 생성합니다.
테이블에 색상 저장
데이터 테이블의 행에 군집을 식별하는 색상을 할당합니다. 보고서 창에 "행렬도"가 있는 경우 데이터 테이블에 저장된 색상은 행렬도의 군집 색상과 일치합니다. "행렬도"에서 색상을 변경하고 "테이블에 색상 저장" 옵션을 다시 선택하면 테이블의 색상이 행렬도의 색상과 일치하도록 업데이트됩니다.
참고: 저장 옵션을 선택하면 저장된 각 열에 해당 특정 열의 데이터에 대한 군집 수를 지정하는 "노트" 열 특성이 포함됩니다. 이렇게 하면 둘 이상의 군집 적합에서 열을 저장하고 열 특성을 사용하여 저장된 열을 가져온 군집화 적합을 식별할 수 있습니다.
군집 저장
주어진 행이 할당된 군집의 번호를 포함하는 군집 열을 데이터 테이블에 저장합니다. 정규 혼합의 경우 이 군집은 최대 확률 분류 군집입니다.
군집 계산식 저장
군집 계산식이라는 계산식 열을 데이터 테이블에 저장합니다. 이 계산식은 행이 속한 군집을 식별합니다.
군집 계산식 게시
"군집 계산식 저장" 옵션에 사용된 것과 동일한 스코어링 코드를 "계산식 저장소"에 게시합니다. "군집 계산식 게시"를 선택하고 "계산식 저장소" 내의 모형에서 "스크립트 실행"을 선택하는 경우, 데이터 테이블에 저장된 열은 "군집 계산식 저장"을 선택할 때 저장된 열과 일치해야 합니다.
혼합 확률 저장
각 군집에 대해 관측값이 해당 군집에 속할 확률을 포함하는 군집 확률 <k> 열을 추가합니다.
혼합 계산식 저장
혼합 확률을 계산하는 데 사용된 계산식을 포함하는 열을 데이터 테이블에 추가합니다. 이러한 계산식 열은 제외된 데이터 또는 테이블에 추가한 데이터의 확률을 스코어링하는 데 사용됩니다.
거리 계산식 <k>
관측값에서 계산된 군집 <k>에 대한 추정된 다변량 정규 밀도 함수입니다.
총 거리
거리 계산식 열의 합계입니다. 이 열의 계산식은 "밀도 계산식 저장" 옵션으로 생성된 혼합 밀도 열의 계산식과 동일합니다.
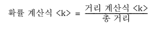
확률 계산식 <k>
관측값이 군집 <k>에 속할 확률입니다. 이러한 열에는 "혼합 확률 저장" 옵션으로 생성된 군집 확률 <k> 열의 값을 제공하는 계산식이 포함됩니다. 혼합 확률을 계산하기 위한 열 계산식은 다음과 같습니다.

밀도 계산식 저장
정규 혼합에 대한 추정 밀도 함수를 포함하는 혼합 밀도 열을 데이터 테이블에 추가합니다.
군집 시뮬레이션
혼합 밀도를 사용하여 예측 변수 값을 시뮬레이션합니다. 이러한 값과 해당 값이 분류되는 군집을 새 데이터 테이블에 저장합니다.
제거
군집화 보고서를 제거합니다.