"최소 제곱 적합" 보고서의 "모수 추정값" 옵션은 모형 모수의 추정값을 표시합니다. 각 모수마다 해당 모수가 0이라는 가설에 대한 t-검정이 제공됩니다.
참고: 모형 항 사이에 선형 종속성이 있는 경우에도 가능하면 추정값을 구하고 검정합니다. 이러한 추정값에는 "편향" 또는 "영점화됨"이라는 라벨이 지정됩니다. 자세한 내용은 모형 항 사이에 선형 종속성이 있는 모형에서 확인하십시오.
항
추정된 모수에 해당하는 모형 항입니다. "모형 적합" 시작 창에서 "절편 없음" 옵션을 선택한 경우를 제외하고 첫 번째 항은 항상 절편입니다. 연속형 효과는 데이터 테이블 열 이름과 함께 나타납니다. 고차 항의 일부인 연속형 열은 중심화될 수 있습니다. 명목형 또는 순서형 효과는 대괄호 안에 수준 값이 포함된 상태로 나타납니다. 명목형 항과 순서형 항의 코딩에 대한 자세한 내용은 명목형 효과 코딩에 대한 통계 상세 정보 및 요인 모형에서 확인하십시오.
추정값
각 항에 대한 모수 추정값입니다. 이 값은 모형 계수의 추정값입니다. 모형 항 사이에 선형 종속성이 있으면 "편향" 또는 "영점화됨"이라는 라벨이 지정될 수 있습니다. 자세한 내용은 모형 항 사이에 선형 종속성이 있는 모형에서 확인하십시오.
표준 오차
추정된 각 모수에 대한 표준 오차 추정값입니다.
t 비
각 모수의 실제 값이 0인지 여부를 검정합니다. t 비는 표준 오차에 대한 추정값의 비율입니다. 모형에 대한 일반적인 가정이 주어지면 t 비는 귀무가설 하에서 스튜던트 t 분포를 따릅니다.
Prob>|t|
실제 모수 값이 0이라는 검정에 반대되는 양측 대립가설에 대한 p 값입니다.
95% 하한
모수 추정값에 대한 95% 신뢰 하한입니다. 이 열은 회귀 보고서 > 모든 신뢰 구간 표시 옵션을 선택했거나, 보고서를 마우스 오른쪽 버튼으로 클릭하고 열 > 95% 하한을 선택한 경우에만 나타납니다.
95% 상한
모수 추정값에 대한 95% 신뢰 상한입니다. 이 열은 회귀 보고서 > 모든 신뢰 구간 표시 옵션을 선택했거나, 보고서를 마우스 오른쪽 버튼으로 클릭하고 열 > 95% 상한을 선택한 경우에만 나타납니다.
표준화 베타
모든 항이 평균 0, 분산 1로 표준화된 회귀 모형의 모수 추정값입니다. 이 열은 보고서를 마우스 오른쪽 버튼으로 클릭하고 열 > 표준화 베타를 선택한 경우에만 나타납니다.
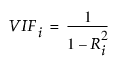
VIF
모형의 각 항에 대한 분산 팽창 계수입니다. VIF 값이 높으면 모형의 항 사이에 공선성 문제가 있음을 나타냅니다.
i번째 항 xi의 VIF는 다음과 같이 정의됩니다.

여기서 Ri 2은 다른 설명 변수의 함수로 나타낸 xi 회귀에 대한 R²(다중 결정 계수)입니다. 이 열은 보고서를 마우스 오른쪽 버튼으로 클릭하고 열 > VIF를 선택한 경우에만 나타납니다.
설계 표준 오차
모수 추정값의 상대 분산 제곱근입니다(Goos and Jones 2011, p. 25).

이러한 값은 RMSE로 나눈 표준 오차입니다. 이 열은 보고서를 마우스 오른쪽 버튼으로 클릭하고 열 > 설계 표준 오차를 선택한 경우에만 나타납니다.
코드화되지 않은 추정값
원래 척도로 표시되는 각 항의 모수 추정값입니다. 이 옵션은 "코딩" 열 특성을 포함하는 효과 열이 하나 이상 있고 특정 조건에 해당하는 경우에만 사용할 수 있습니다. 자세한 내용은 코딩 제한에서 확인하십시오.