"설계 비교" 보고서의 "상대 추정 효율도" 섹션에서는 가정된 모형에 있는 모수에 대한 모수 추정값의 표준 오차 측면에서 설계를 비교합니다. 표준 오차는 모수 추정값의 신뢰 구간 길이를 제어합니다. 이 섹션에는 효율도 비율과 상대 표준 오차가 제공됩니다.
상대 추정 효율도 값 테이블 아래에 나오는 색상 그래디언트에 따라 상대 추정 효율도 값에 색상이 적용됩니다. "상대 추정 효율도"의 빨간색 삼각형 메뉴 옵션을 사용하여 색상 범례를 제어할 수 있습니다. 자세한 내용은 색상 대시보드에서 확인하십시오.
그림 17.17 두 가지 분할구 설계를 비교하는 상대 추정 효율도
Figure 17.17에서는 분할구 설계 비교의 예에서 비교한 분할구 설계의 "상대 추정 효율도" 섹션을 보여 줍니다.
주어진 항에 대해 비교 설계에 대한 참조 설계의 추정 효율도는 비교 설계 항의 상대 표준 오차를 참조 설계 항의 상대 표준 오차로 나눈 값입니다. 값이 1보다 작으면 참조 설계가 비교 설계만큼 효율적이지 않음을 나타냅니다. 값이 1보다 크면 참조 설계가 더 효율적임을 나타냅니다.
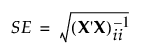
"추정값의 상대 표준 오차" 보고서는 오차 표준편차에 대한 모수 추정값의 표준편차 비율을 제공합니다. 이 값은 오차 표준편차를 기준으로 모형 모수 추정값의 표준 오차 크기를 나타냅니다. i번째 모수 추정값의 경우 추정값의 상대 표준 오차는 다음과 같이 정의됩니다.

다음은 각 요소에 대한 설명입니다.
X는 별칭 행렬에 정의된 모형 행렬입니다.
은
의 i번째 대각 항목입니다.