범위 차트에 사용되는 한계 계산에 대한 자세한 내용은 Xbar-R 차트에 대한 통계 상세 정보에서 확인하십시오. S 관리도에 사용되는 한계 계산에 대한 자세한 내용은 Xbar-S 차트에 대한 통계 상세 정보에서 확인하십시오.
이 섹션에는 측정 시스템 분석 플랫폼의 통계량에 대한 계산 상세 정보가 포함되어 있습니다.
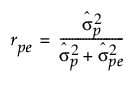
급내 상관(치우침 없음)은 다음과 같이 계산됩니다.

급내 상관(치우침 포함)은 다음과 같이 계산됩니다.

급내 상관(치우침 및 교호작용 요인 포함)은 다음과 같이 계산됩니다.

확률 오차는 다음과 같이 계산됩니다.

다음 사항에 유의하십시오.
= 순수 오차에 대한 분산 추정값
= 제품에 대한 분산 추정값
= 치우침 요인에 대한 분산 추정값
= 교호작용 요인에 대한 분산 추정값
Z0.75 = 표준 정규 분포의 75% 분위수