이 섹션에는 모형 적합 플랫폼의 표준 최소 제곱 분석법에서 사용자 검정을 지정하는 예와 관련된 추가 상세 정보가 포함되어 있습니다. 사용자 검정의 예에서는 Cholesterol.jmp 샘플 데이터 테이블을 사용하여 세 가지 대비를 검정합니다. 구체적으로 다음 내용을 비교하려고 합니다.
• treatment A의 평균 반응 대 treatment B의 평균 반응
• 결합된 treatment A/B의 평균 반응 대 대조군의 평균 반응
• 결합된 treatment A/B의 평균 반응 대 결합된 대조군/플라시보 그룹의 평균 반응
"사용자 검정" 열에 입력하는 대비 계수를 유도하기 위해 다음을 수행하십시오. 4개의 treatment 그룹에 대한 이론적 효과를 aA, aB, aControl 및 aPlacebo로 나타냅니다. 이것은 treatment 효과이므로 합이 0으로 제한됩니다. 표시 변수와 관련된 모수는 처음 세 효과만 나타내므로 처음 세 효과를 기준으로 대비를 공식화해야 합니다. 자세한 내용은 사용자 검정 예에 대한 통계 상세 정보 및 모수 해석에서 확인하십시오.
검정할 가설은 다음과 같이 모형 효과를 기준으로 작성할 수 있습니다.
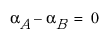
• treatment A와 treatment B 비교:

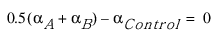
• treatment A/B와 대조군 비교:

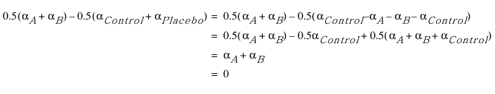
• treatment A/B와 대조군/플라시보 그룹 비교:

이 대비를 위한 대비 계수를 얻으려면 모형 효과를 기준으로 placebo 효과를 작성해야 합니다. 구체적으로
이라는 사실을 사용합니다. 그러면
입니다. 그러면 다음이 적용됩니다.
