누적 손상 시작 창의 "사건 발생 시간" 패널에는 다음 옵션이 포함되어 있습니다.
사건 발생 시간
사건 발생 시간(예: 고장 시간) 또는 중도절단 시간을 식별합니다. 구간 중도절단의 경우 데이터 테이블에 두 개의 열이 포함되어야 합니다. 이러한 열은 각 유닛에 대한 고장 시간의 하한 및 상한을 제공합니다. 두 중도절단 열을 사건 발생 시간으로 입력합니다. 중도절단에 대한 자세한 내용은 사건 그림에서 확인하십시오.
중도절단
오른쪽 중도절단된 관측값을 식별합니다. "열 선택" 목록 아래의 "중도절단 코드" 메뉴에서 오른쪽 중도절단된 관측값을 식별하는 값을 선택합니다. 중도절단 열은 하나의 Y가 입력된 경우에만 사용됩니다.
빈도
유닛이 여러 개인 경우 빈도 또는 관측값 수를 식별합니다. 0 또는 양의 정수 값은 지정된 행 설정을 사용한 관측값의 빈도 또는 개수를 나타냅니다.
패턴 ID
스트레스 패턴 데이터 테이블에서 지정된 행에 사용된 스트레스 패턴을 지정하는 값을 포함합니다.
중도절단 코드
오른쪽 중도절단된 관측값을 지정하는 중도절단 열의 값을 식별합니다. 중도절단 열이 선택되면 JMP는 자동으로 중도절단 코드를 감지하여 상자에 표시하려고 시도합니다. 이를 변경하려면 빨간색 삼각형을 클릭하고 값 목록에서 선택합니다. 상자에 다른 값을 입력할 수도 있습니다. 중도절단 열에 "값 라벨" 열 특성이 포함된 경우 값 라벨이 값 목록에 나타납니다. 결측값은 분석에서 제외됩니다.
관계
사건과 스트레스 요인 간의 관계를 식별합니다. Table 5.1에서는 각 관계에 대한 모형을 정의합니다.
|
관계 |
모형 |
|---|---|
|
아레니우스 섭씨 |
μ = b0 + b1 * 11604.5181215503/(X + 273.15) |
|
아레니우스 화씨 |
μ = b0 + b1 * 11604.5181215503/((X + 459.67)/1.8) |
|
아레니우스 켈빈 |
μ = b0 + b1 * 11604.5181215503/X |
|
역 멱(기본값) |
μ = b0 + b1 * log(X) |
|
선형 |
μ = b0 + b1 * X |
|
로그 |
μ = b0 + b1 * log(X) |
|
로짓 |
μ = b0 + b1 * log(X/(1 - X)) |
|
역수 |
μ = b0 + b1/X |
|
제곱근 |
μ = b0 + b1 * sqrt(X) |
|
Box-Cox |
μ = b0 + b1 * BoxCox(X) |
|
사용자 정의 |
사용자 정의("계단 스트레스" 패널에서만 사용 가능) |
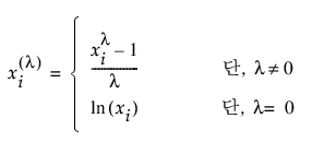
BoxCox(X) 변환은 다음과 같이 정의됩니다.

사용자 정의를 선택하면 수명 사건과 스트레스 요인 간의 관계를 모델링할 수 있도록 사용자 변환을 정의해야 하는 추가 컨트롤이 나타납니다.
모형에 사용자 정의 관계를 사용하려면 사용자 정의 관계의 내용을 참조하십시오.
분포
초기 고장 시간 분포를 지정합니다. Weibull, 로그 정규, 로그로지스틱, Frechet 또는 지수 중에서 선택합니다. "Weibull"이 기본 설정입니다. 분포에 대한 자세한 내용은 분포에 대한 통계 상세 정보에서 확인하십시오.