在“定制检验”的示例中,您关注的是使用 Cholesterol.jmp 样本数据表检验三个对比。具体而言,您想要比较:
• 治疗 A 和 B 的响应均值
• 治疗 A 和 B 的合并响应均值与控制组的响应均值
• 治疗 A 和 B 的合并响应均值与控制组和安慰剂组的合并响应均值
要获得您在“定制检验”列中输入的对比系数,请执行以下操作。将这四个治疗组的理论效应表示为:αA、αB、αControl 和 αPlacebo。这些都是治疗效应,所以它们的总和限制为 0。由于与指标变量关联的参数仅表示前三个效应,所以您需要按照这前三个效应用公式表示对比。请参见“定制检验”示例的详细信息和参数的解释。
您想要检验的假设可以按照模型效应写成如下形式:
• 比较治疗 A 与治疗 B:

• 将治疗 A 和 B 与控制组作比较:

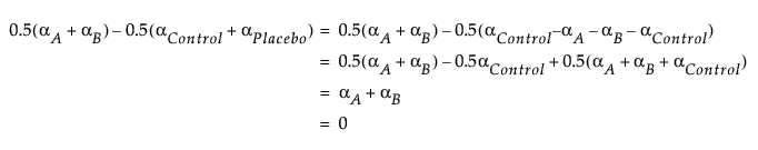
• 将治疗 A 和 B 与控制组和安慰剂组作比较:

要获取该对比的对比系数,您需要按照模型效应编写安慰剂效应。具体而言,使用事实
。于是
。由此判定:
