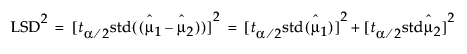
比较环是多重比较检验中最小显著性差异 (LSD) 的图形表示。该最小显著性差异是 Student t 统计量与两个均值差值的标准误差的乘积,定义如下:

根据以下关系计算两个独立均值的差值的标准误差:

均值不相关时,这些量之间具有以下关系:

这些平方值构成了勾股定理关系,图 6.44 中所示的直角三角形对此进行了说明。
图 6.44 两个均值之间的差值的关系
该直角三角形的斜边是比较均值的量尺。仅当实际差值大于直角三角形的斜边 (LSD) 时,均值存在显著差异。
假定您在边界线上正好有两个均值,其中实际差值与最小显著性差异相同。使用在垂直尺度上测量的均值为顶点绘制三角形。此外,在每个均值周围绘制圆,使每个圆的直径等于该均值的置信区间。
图 6.45 t 检验统计量的几何关系
每个圆的半径是三角形相应直角边的长度,即
。
两个直角边相交成一直角,这些圆也在同一点相交成同一直角,给出以下关系:
• 若均值差值刚好等于最小显著性差异,则每个均值周围的置信区间圆相交为直角。即切线的角为直角。
现在,考虑均值差值大于或小于最小显著性差异时这些圆应如何相交:
• 若圆相交导致外角大于直角,则均值不存在显著差异。若圆相交导致外角小于直角,则均值存在显著差异。外角小于 90 度表示均值分开的距离超过最小显著性差异。
• 若圆不相交,则均值存在显著差异。若圆嵌套,则均值没有显著差异(图 6.11)。
同样的图形方法适用于很多多重比较检验,用 Student t 的不同概率分位数值替代即可。