在“拟合模型”启动窗口中的“构造模型效应”下方输入您的模型效应。有关如何获取特定模型类型的示例,请参见模型规格模板。
向模型添加效应。可以从“选择列”列表中直接添加这些效应,也可以在该列表中选择这些效应并使用“宏”或“特性”加以修改。还可以使用“交叉”和“嵌套”创建和添加或修改效应。效应中涉及的变量的建模类型以及分配给该效应的任何“特性”共同决定如何在模型中处理该效应。
注意:要从“构造模型效应”列表中删除某个效应,请双击该效应,也可以选择它并点击删除或按 Backspace/Delete 键。
创建交互作用或多项式效应。在“选择列”列表中选择两个或更多变量,然后点击交叉。或者,在“选择列”列表中选择一个或多个变量,并且在“构造模型效应”列表中选择一个或多个效应,然后点击交叉。
有关如何对交叉效应进行参数化和编码的讨论,请参见统计详细信息。
注意:您可以构造最多组合十个交叉和嵌套列的效应。
假定某种产品涂层要求涂某种染料。“染料 pH 值”和“染料浓度”可能都对涂层颜色有影响。为了了解这两方面的影响,您需要设计一个实验,将“染料 pH 值”和“染料浓度”设置为各自的高水平和低水平。“染料 pH 值”对颜色的影响在“染料浓度”的高水平上可能比在其低水平上更为显著。这称为交互作用。要对这个可能的交互作用建模,您需要在“构造模型效应”列表中包含交叉项“染料 pH 值 * 染料浓度”。这样 JMP 就可以检验交互作用。
创建嵌套效应。若一个效应 (B) 的所有水平仅在另一个效应 (A) 的一个水平中出现,则称 B 嵌套在 A 中。通常表示为 B[A],读作“B 嵌套在 A 中”。请注意,嵌套定义了一种层次关系。A 称为外部效应,B 称为内部效应。嵌套项必须是分类项。
注意:嵌套项必须按照从外到内的顺序来指定。例如,若 B 嵌套在 A 中,C 嵌套在 B 中,则将模型指定为:A, B[A], C[B,A](也可以表示为 A, B[A], C[A,B])。您可以构造最多组合十个交叉和嵌套列的效应。
为了演示嵌套,考虑两所学校中的数学老师。一所学校有三位数学老师;另一所学校有两位数学老师。每所学校中的每位老师都教两个或三个班,各班学生没有重叠。在本例中,班级 (C) 嵌套在教师 (B) 中,教师 (B) 嵌套在学校 (A) 中。在“拟合模型”启动窗口中输入这些效应:
1. 将 A 和 B 均添加到“构造模型效应”面板中。
2. 在“构造模型效应”面板中,选择 B。
3. 在“选择列”列表中,选择 A。
4. 点击嵌套。这会将 B 转换为效应 B[A]。
5. 将 C 添加至“构造模型效应”面板。
6. 在“构造模型效应”面板中,选择 C。
7. 在“选择列”列表中,选择 A 和 B。
8. 点击嵌套。这会将 C 转换为效应 C[A, B]。
在“宏”列表中,选择选项以便为常用模型自动生成效应,并将其输入“构造模型效应”列表:
完全析因
为“选择列”列表中选定的列创建所有主效应和交互作用。在输入这些对象时采用“选择列”列表中所列的主效应的顺序。对于其他排序,请参见该表中的析因排序。
析因次数
创建所有主效应,但仅创建最高达到指定次数(阶数)的交互作用。在宏按钮下方的次数框中指定次数。
析因排序
创建与完全析因选项相同的一组效应,但按次数列出它们。先列出所有主效应,随后是所有双因子交互作用,然后是所有三因子交互作用,依此类推。
响应曲面
创建主效应、双因子交互作用和二次项。将为选定的主效应指定响应曲面特性,表示为 RS。对主效应应用 RS 特性并且选定“标准最小二乘法”特质后,将提供“响应曲面”报表。该报表提供有关临界值和响应曲面形状的信息。
注意:该选项不创建分类效应的二次项。
另请参见特性中的“响应曲面效应”和《实验设计指南》中的“Response Surface Designs”。
混料响应曲面
创建主效应和双因子交互作用。主效应具有响应曲面 (RS) 和混料(混料)特性。在“标准最小二乘法”特质中,混料特性导致拟合混料模型。RS 特性将创建特定于混料模型的“响应曲面”报表。
另请参见特性中的“混料效应”和《实验设计指南》中的“Response Surface Designs”。
多项式次数
创建主效应和最高达指定次数的多项式项。在宏按钮下方的次数框中指定次数。
注意:该选项不创建分类效应的更高次数项。
Scheffé 三次项
创建主效应、交互作用和 Scheffé 三次项,这在为混料实验指定响应曲面时很有用。该宏创建完整的三次模型。
若您使用三次多项式模型拟合混料,您不能引入偶数幂的项(例如 X1*X1*X2),因为无法估计这样的项。不过,完整的曲面多项式表示形式却可以包含 X1*X2*(X1 – X2) 形式的项,它们称为 Scheffé 三次项。
若您在次数框中输入 3,而后选择混料响应曲面宏命令,此时也会包含 Scheffé 三次项。
偏三次项
创建主效应、双因子交互作用、二次项以及主效应与二次项之间的交互作用。该宏等价于向“响应曲面”宏定义的项添加主效应与二次项之间的交互作用。
注意:该选项不创建分类效应的二次项。
分组的回归变量
为在报表不同部分中被视为一个效应的一组连续因子创建单个效应。您可以在“效应汇总”中添加或删除分组效应。每个分组效应都有一个杠杆图和一个效应检验,而不是组中每个因子都有单独的图和检验。若数据表包含表示分类效应水平的指示符列,这会很有用。
注意:包括在一组回归变量中的非连续因子不包括在分析中。
在“特性”列表中,选择您可以为“构造模型效应”列表中选定的效应分配的特性。
随机效应
为效应分配“随机”特性。有关随机效应的详细信息,请参见指定随机效应和拟合方法。
响应曲面效应
为效应分配 RS 特性。请注意,必须在“构造模型效应”列表中包括相关模型项。“宏”列表中的“响应曲面”选项自动生成这些项并将 RS 特性分配给主效应。要获取“响应曲面”报表,无需为交互作用和多项式项分配 RS 特性。您只需将该特性分配给主效应。
对数方差效应
为效应分配“对数方差”特性。该特性指示将在响应的方差模型中包含该效应。
要想同时为响应的均值和方差在模型中包含某个效应,您必须将该效应指定两次。在选项卡式界面中,它必须同时显示在“均值效应”选项卡和“方差效应”选项卡上。若不这样指定,您可以在“均值效应”选项卡上将该效应输入两次,一次不包含“对数方差效应”特性,另一次包含“对数方差效应”特性。
混料效应
为主效应分配“混料”特性。该特性用于指定混料中涉及的主效应。请注意,“宏”列表中的“混料响应曲面”选项会为选定效应自动分配混料特性,并在可能的情况下提供“响应曲面”报表。
排除效应
为效应分配“排除”特性。这将从模型拟合中排除该效应。不过,该效应用于对观测分组,以执行失拟检验。在“标准最小二乘法”特质中,为该效应提供最小二乘均值表。
纽结样条效应
为连续主效应分配“纽结”特性。这会向模型规格隐式添加效应的三次样条。请参见纽结样条效应。
纽结样条用于借助灵活的预测变量函数来拟合响应 Y。考虑使用单个预测变量 X。若为 X 分配了“纽结样条效应”并且指定了 k 个结点,则会向该组预测变量隐式添加 k - 2 个额外效应。其中的每一个效应都是分段三次多项式样条,其中的各段由结点来定义。
样条数由结点数确定。根据特质使用的方法来估计与样条关联的系数。将纽结样条效应分配给连续因子效应时,您必须在默认的结点选择过程、指定不同的等间距结点数和指定一组定制结点之间进行选择。
若选择默认选项,结点按照文献提供的指导性信息来放置。特别是:若观测数未超过 100 个,第一个结点和最后一个结点分别为其中的第五个最小点和第五个最大点。另一方面,对于未超过 5 个结点的情况,第一个结点和最后一个结点分别位于第 0.05 和 0.95 分位数;对于 5 个以上结点的情况,第一个结点和最后一个结点分别位于第 0.025 和 0.975 分位数。若有 30 个以上的观测,则默认结点数为 5;否则,默认结点数为 3。纽结样条亦称 Stone 样条或 Stone-Koo 样条。请参见 Stone and Koo (1985)。
注意:仅针对主效应连续项应用纽结样条。
与平滑样条相比,纽结样条具有以下属性:
• 纽结样条适用于包含很多项的一般模型,而平滑样条仅适用于二元回归。
• 回归算法不是基于响应的函数。
• 纽结样条很简化,对于 k 个结点的曲率仅添加 k – 2 个项。
• 纽结样条比纯多项式更为保守,这是因为纽结样条在数据范围之外的外推为直线而不是多项式。
• 有一个简单的曲率检验。
注意:有关使用纽结样条效应的模型的示例,请参见使用纽结样条效应的示例。
使用“变换”选项可变换在“构造模型效应”文本框中选定的 Y 列或主效应。
注意:您还可以通过在“选择列”列表中右击某列并选择“变换”来变换该列。“选择列”列表中将出现变换列的引用。随后,您可以在“拟合模型”窗口中像使用任意数据表列那样使用该列。请参见《使用 JMP》中的变换 JMP 平台中的列。
无
删除已应用的所有“变换”选项。
对数
对选定变量应用自然对数变换。
平方根
应用选定变量值的平方根。
平方
应用选定变量值的平方。
倒数
对变量 X 应用变换 1/X。
指数
对选定变量应用指数变换。
Arrhenius
对变量 T(摄氏度温度)应用 Arrhenius 变换:

这是与活化能相乘的 Arrhenius 关系的成分。
ArrheniusInv
对变量 X 应用 Arrhenius 变换的逆变换:

Logit
对选定列计算 Logistic 函数的反函数(其中,p 介于 0 到 1 之间):

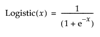
Logistic
计算选定列的 Logistic(亦称 Squish 和 Logist)函数(其中,结果介于 0 到 1 之间):

LogitPct
以百分比形式计算选定列的 Logit(其中,pct 是介于 0 到 100 之间的百分比):

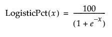
LogisticPct
以百分比形式计算选定列的 Logistic(或 Logist,其中,结果介于 0 到 100 之间):

若想要拟合不含截距项的模型,则选择“无截距”。某些建模结构要求无截距模型。对于这些结构,默认选中“无截距”框。
对于以下特质,您可以使用选项卡式界面输入模型效应:
注意:若在第一个(主)选项卡上对效应应用了“特性”,这些特性确定如何在模型中处理这些效应。若运行该模型,然后从报表的红色小三角菜单中请求“模型对话框”,您会发现这些效应显示在相应的选项卡上。
标准最小二乘法
输入模型效应:
“固定效应”选项卡
输入的效应要作为固定效应来建模。固定效应是要关注其特定处理水平的效应。您想要比较其处理水平之间的响应均值。
“随机效应”选项卡
输入的效应要作为随机效应来建模。随机效应是其水平被视为较大总体中的随机样本的效应。您想要估计响应中可归因于该效应的变异。
混合模型
输入模型效应:
“固定效应”选项卡
输入的效应要作为固定效应来建模。请参见该表中的“标准最小二乘法”。
“随机效应”选项卡
输入的效应要作为随机效应来建模。用于方差分量模型和随机系数模型。
“重复结构”选项卡
用于选择重复效应的协方差结构。
广义线性混合模型
输入模型效应:
“固定效应”选项卡
输入的效应要作为固定效应来建模。请参见该表中的“标准最小二乘法”。
“随机效应”选项卡
输入的效应要作为随机效应来建模。用于方差分量模型和随机系数模型。
“重复结构”选项卡
用于选择重复效应的协方差结构。
对数线性方差
输入模型效应:
“均值效应”选项卡
输入要对其期望值建模的效应。
“方差效应”选项卡
输入要对其方差建模的效应。
若想同时对效应的期望值和方差建模,您必须在这两个选项卡上都输入该效应。
参数生存
输入模型效应:
“位置效应”选项卡
输入要在对位置参数 mu 或 Weibull 分布中的形状参数建模时使用的效应。
“尺度效应”选项卡
输入要在对尺度参数建模时使用的效应。
响应筛选
输入模型效应:
“固定效应”选项卡
输入的效应要作为固定效应来建模。请参见该表中的“标准最小二乘法”。
“随机效应”选项卡
输入的效应要作为随机效应来建模。用于方差分量模型和随机系数模型。