在本例中,使用“模拟”功能执行非线性模型的前瞻功效分析。您关注的是六个连续因子的主效应,针对某个部件是通过还是未通过质检。响应为二项响应,您可以总共运行 60 次。
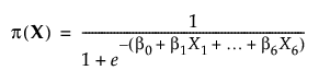
您需要使用广义线性模型(Logit 作为连结函数)对成功概率建模。Logit 连结函数拟合 Logistic 模型:

其中,p(X) 表示处在给定的设计设置 X = (X1, X2, ..., X6) 时,某部件通过的概率。
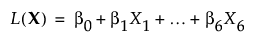
用 L(X) 表示线性预测变量:

接下来,您将探索线性预测变量系数的以下值的功效:
|
系数 |
值 |
|---|---|
|
b0 |
0 |
|
b1 |
1 |
|
b2 |
0.9 |
|
b3 |
0.8 |
|
b4 |
0.7 |
|
b5 |
0.6 |
|
b6 |
0.5 |
由于线性预测变量的截距为 0,所以当所有因子设置为 0 时,通过的部件的概率等于 50%。在其他所有因子都设置为 0 时,与第 i 个因子的水平关联的概率如下所示。
|
因子 |
Xi = 1 时通过的百分比 |
Xi = -1 时通过的百分比 |
差分 |
|---|---|---|---|
|
X1 |
73.11% |
26.89% |
46.2% |
|
X2 |
71.09% |
28.91% |
42.2% |
|
X3 |
69.00% |
31.00% |
38.0% |
|
X4 |
66.82% |
33.18% |
33.6% |
|
X5 |
64.56% |
35.43% |
29.1% |
|
X6 |
62.25% |
37.75% |
24.5% |
例如,在除 X1 之外的其他所有因子都设置为 0 时,您想要检测的通过率的差值为 46.2%。在除 X6 之外的其他所有因子都设置为 0 时,出现您要检测的通过率的最小差值,即 24.5%。
在本节中,为您的实验构造一个定制设计。
注意:若您想要跳过本节中的步骤,请选择帮助 > 样本数据文件夹,然后打开 Design Experiment/Binomial Experiment.jmp。点击实验设计模拟脚本旁边的绿色小三角,然后转到定义模拟响应。
1. 选择实验设计 > 定制设计。
注意:尽管定制设计对于非线性情形并不是最佳的,但在本例中,为了简便起见,您可以使用“定制设计”平台而不是“非线性设计”平台。要查看解释使用“非线性设计”平台构造的设计优于正交设计的原因的示例,请参见《实验设计指南》中的非线性设计的示例。
2. 在“因子”分级显示项中的添加因子数旁边键入 6。
3. 点击添加因子 > 连续。
4. 点击继续。
您构造的是主效应设计,所以不要对“模型”分级显示项进行任何更改。
5. 在“试验次数”下的用户指定旁边键入 60。
6. 点击“定制设计”红色小三角,然后选择模拟响应。
这将在您选择“制表”以构造设计表后打开“模拟响应”窗口。
注意:在step 7中设置“随机种子”,在step 8中设置“开始数”,这将会重现本例中显示的相同设计。自行构造设计时,这些步骤不是必需的。
7. (可选)点击“定制设计”红色小三角并选择设置随机种子。键入 12345 并点击确定。
8. (可选)点击“定制设计”红色小三角并选择开始数。键入 1 并点击确定。
9. 点击制作设计。
10. 点击制表。
注意:Y 和 Y 模拟列中的条目可能不同于Figure 10.18 中所示的条目。
图 10.18 设计表的部分视图
图 10.19 “模拟响应”窗口
设计表和“模拟响应”窗口随即显示。有两列添加到设计表中:
‒ Y 包含根据“模拟响应”窗口中的指定设置模拟的一组值。
‒ Y 模拟包含一个公式,该公式使用在“模拟响应”窗口中为该模型指定的公式计算其值。要查看该公式,点击列面板中列名右侧的加号。
继续前进到下一节,在其中模拟二项响应并拟合这些模拟响应的广义线性模型。
您的计划是要模拟二项响应数据,其成功概率由 Logistic 模型给出。有关“模拟响应”的详细信息,请参见《实验设计指南》中的模拟响应。
注意:若想要跳过本节中的步骤,请点击模拟模型响应脚本旁边的绿色小三角。然后转到拟合广义线性模型。
1. 在“模拟响应”窗口(Figure 10.19)中,在 Y 下输入以下值:
‒ 在“截距”旁边键入 0。
‒ 在 X1 旁边,默认输入的是 1。请保留该值。
‒ 在 X2 旁边,键入 0.9。
‒ 在 X3 旁边,键入 0.8。
‒ 在 X4 旁边,键入 0.7。
‒ 在 X5 旁边,键入 0.6。
‒ 在 X6 旁边,键入 0.5。
2. 在“分布”分级显示项中,选择二项。
保持数目的值设置为 1,指示每次试验只有一个单位。
图 10.20 完成的“模拟响应”窗口
3. 点击应用。
在设计数据表中,Y 模拟列替换为生成二项值的公式列。称为 Y n 次试验的列指示每次运行的试验数。
4. (可选)点击列面板中 Y 模拟右侧的加号。
图 10.21 “Y 模拟”的随机二项公式
5. 点击取消。
在本节中,使用“广义线性模型”特质拟合 Logistic 模型。
1. 在数据表中,点击模型脚本旁边的绿色小三角。
2. 点击 Y 按钮旁边的 Y 变量,然后点击删除。
3. 点击 Y 模拟,然后点击 Y 按钮。
您要使用包含随机生成的二项值的列来替换 Y。
4. 从“特质”列表中选择广义线性模型。
5. 从“分布”列表中选择二项。
请注意,Logit 函数显示在“连结函数”菜单中。
6. 点击运行。
拟合的模型基于一组模拟二项响应。
在本节中,模拟似然比检验 p 值,以探索检测某范围概率值中存在的差异的功效,该差异是由线性预测变量(带有示例介绍中给定的系数值)确定的。
1. 在“效应检验”分级显示项中,右击概率>卡方列,然后选择模拟。
图 10.22 “模拟”窗口
确保在“换出列”列表中选定了 Y 模拟列。该列包含用于拟合模型的值。当您选择“换入列”下的列 Y 模拟后,对于每次模拟,您都在指示 JMP 将 Y 模拟中的值替换为使用 Y 模拟列中的公式模拟的一列新值。
您在报表中已选定的列概率>卡方是关于相关的主效应是否为 0 的似然比检验的 p 值。为“效应检验”表中所列的每个效应都模拟“概率>卡方”值。
2. 在样本数旁边,键入 500。
3. 点击确定。
随即显示“广义线性模型模拟结果”数据表。
注意:由于响应值是模拟的,您的模拟 p 值可能不同于Figure 10.23 中显示的结果。
图 10.23 模拟结果表,部分视图
表的第一行包含概率>卡方的初始值,并且已被排除。其余 500 行包含模拟值。
4. 运行功效分析脚本。
注意:由于响应值是模拟的,您的模拟功效结果可能不同于Figure 10.24 中显示的结果。
图 10.24 前三个效应的分布图
直方图为每个主效应都绘制了 500 次模拟的概率>卡方值。“模拟功效”分级显示项显示这 500 次模拟中的模拟“拒绝率”。
为便于查看,堆叠这些报表并且取消选择这些图。
5. 点击“分布”红色小三角并选择堆叠。
6. 按 Ctrl 并点击 X1 红色小三角,然后取消选择离群值箱线图。
7. 按 Ctrl 并点击 X1 红色小三角,选择直方图选项并取消选择直方图。
注意:由于响应值是模拟的,您的模拟功效结果可能不同于Figure 10.25 中显示的结果。
图 10.25 前三个效应的功效结果
在“模拟功效”分级显示项中,每行的“拒绝率”给出小于相应的 Alpha 的 p 值的比例。例如,对于 X3(对应于系数值 0.8,概率差值为 38%),0.05 显著性水平下的模拟功效为 379/500 = 0.758。Table 10.1 汇总了所有效应在 0.05 显著性水平下的模拟功效。请注意功效如何随着“待检差值”的下降而下降。还请注意,检验 24.5% 这样大的效应 (X6) 的功效仅约为 0.37。
注意:由于响应值是模拟的,您的模拟功效结果可能不同于Table 10.1 中显示的结果。
因子 | Xi = 1 时通过的百分比 | Xi = -1 时通过的百分比 | 待检差值 | Alpha=0.05 时的模拟功效(拒绝率) |
|---|---|---|---|---|
X1 | 73.11% | 26.89% | 46.2% | 0.852 |
X2 | 71.09% | 28.91% | 42.2% | 0.828 |
X3 | 69.00% | 31.00% | 38.0% | 0.758 |
X4 | 66.82% | 33.18% | 33.6% | 0.654 |
X5 | 64.56% | 35.43% | 29.1% | 0.488 |
X6 | 62.25% | 37.75% | 24.5% | 0.372 |