通过选择分析 > 质量和过程 > 控制图 > CUSUM 启动“V 形模板 CUSUM 控制图”平台。
图 6.4 “CUSUM 控制图”启动窗口
|
‒
|
目标是过程或总体的目标均值(目标)。目标均值必须按照与数据相同的单位来调整。
|
|
‒
|
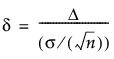
Delta 指定要检测的最小偏移的绝对值,该值作为过程标准差或标准误差的倍数。这取决于该偏移是被视为总体均值中的偏移还是子组均值的抽样分布中的偏移。Delta 是“偏移”选项的替换选项(下文会加以说明)。偏移与 Delta 之间的关系可计算如下:
|
|
‒
|
偏移是您想要在目标均值任一侧检测的最小值。应采用与数据相同的单位输入偏移值,并将其解释为子组均值的抽样分布均值中的偏移。您可以选择“偏移”或 Delta。
|
|
‒
|
|
‒
|

