すべての因子が変量効果であるモデルは、変量効果モデルと呼ばれています (第 “変量効果”を参照)。変量効果モデルは、分散成分モデルとも呼ばれています。変量効果モデルは、多くの場合、因子が階層的になっています。固定効果と変量効果の両方を含んでいるモデルは、混合モデル、もしくは、混合効果モデルと呼ばれています。反復測定モデルや分割実験モデルは、混合モデルの特殊なケースです。単に混合モデルと言った場合、そのなかには変量効果モデルも含まれます。
混合モデルをあてはめるには、「モデルのあてはめ」起動ウィンドウで変量効果を指定しなければなりません。ただし、モデル効果がすべて変量効果の場合は、「計量値/計数値チャート」プラットフォームでモデルをあてはめることもできます。「計量値/計数値チャート」プラットフォームでは、特定のモデルのみをあてはめることができます。「計量値/計数値チャート」プラットフォームで使用されている推定方法では、分散の推定値が負になることを禁止しています。「計量値/計数値チャート」プラットフォームでの分散成分モデルのあてはめに関する詳細は、『品質と工程』の「計量値用ゲージチャート」章と「計数値用ゲージチャート」章を参照してください。
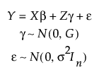
変量効果とは、「その水準が、母集団から無作為抽出された標本である」と見なされる効果です。ある因子を変量効果として扱う状況では、1つ1つの特定の水準が与える効果を推定するのに関心があるのではなく、水準が与える効果のばらつき具合(分散成分)に関心があります。ただし、変量効果における特定の1つの水準がもつ効果を予測することもできます。モデルとしては、変量効果は平均が0の正規分布に従うと仮定されます。
|
•
|
|
•
|
|
•
|
|
•
|
|
•
|
|
•
|
|
•
|
|
•
|
|
•
|
γとεは、独立に分布
|
Gの対角要素と、誤差分散σ2は、分散成分と呼ばれています。これらの分散成分は、固定効果パラメータβとともに、推定対象のモデルパラメータです。なお、変量効果γに対しても、推定されたモデルパラメータに基づき、予測値を算出することができます。
JMPの[標準最小2乗]手法でサポートされている変量効果の共分散構造は、分散成分構造(SAS Institute Inc. 2017, ch.79)だけです。一般的な線形混合モデルには様々な共分散構造がありますが、JMPの[標準最小2乗]手法でサポートされているのは、分散成分構造のみです。
JMP Proの[混合モデル]手法では、誤差部分の共分散構造に対して、1次の自己相関(AR(1))無構造(unstrucured)、空間構造といった構造が用意されています。詳細については、「混合モデル」章の「[反復構造]タブ」(333ページ)を参照してください。|
•
|
REML法(制限最尤法)。常に、こちらの推定方法を使うことを推奨します。
|
|
•
|
EMS法(期待平均平方法)。古典的な教科書で説明されている方法を確認するのに使用してください。
|
混合モデルの推定方法には、従来、EMS法が使われてきましたが、現在はREML法が主流です。REML法は、扱えるモデルや推定した後の統計分析において、EMS法よりも汎用的です。REML法はPatterson and Thompson(1974)で提案されました。Wolfinger et al.(1994)およびSearle et al.(1992)を参照してください。
EMS法はモーメント法とも呼ばれ、性能が高いコンピュータが登場する以前にも使われていました。研究者たちは、特にバランスの取れたデータ(釣合い型データ)でEMS法を愛用しました。バランスの取れたデータだと、EMS法の計算は単純になり、簡単な計算によって、混合モデルを推定することができるからです。多くの教科書では、変量効果を含むモデルを紹介するのにまだEMS法が使用されているため、JMPでもEMS法のオプションを用意しています (McCulloch et al., 2008; Poduri, 1997; Searle et al., 1992などを参照してください)。
変量効果の指定は、「モデルのあてはめ」起動ウィンドウで行えます。ある効果が変量効果であることを指定するには、「モデル効果の構成」リストの中からその効果を選択し、[属性]>[変量効果]を選択します。すると、モデル効果リストの中に表示されているその効果名の後ろに、「&変量効果」というラベルが追加されます (変量効果の定義については、第 “変量効果”を参照してください)。変量効果は個別のタブでも指定できます (「モデルの指定」章の「「モデル効果の構成」のタブ」(36ページ)を参照)。
分散成分をパラメータ化するには、無制限法と制限法の2つの方法があります。これらの方法の違いは、固定効果と変量効果との交互作用で生じます。(このような固定効果と変量効果の交互作用は、変量効果とみなされます)。
JMPとSASが採用しているのは無制限法です。数多くの統計の教科書が制限法を使用しているので、この区別は重要です。どちらの方法も60年前から広く普及しているものです (これらの手法については、Cobb, 1998, Section 13.3を参照してください)。
固定効果に対して検定を行う場合は、[分散成分の範囲制限なし]オプションをオンのままにしておいてください。分散成分の推定値を0以上に制約すると、固定効果の検定にバイアス(偏り)が生じる可能性があります。
