JMP 14.2オンラインマニュアル
はじめてのJMP
JMPの使用法
基本的な統計分析
グラフ機能
プロファイル機能
実験計画(DOE)
基本的な回帰モデル
予測モデルおよび発展的なモデル
多変量分析
品質と工程
信頼性/生存時間分析
消費者調査
スクリプトガイド
スクリプト構文リファレンス
JMP iPad Help (英語)
JMP Interactive HTML (英語)
機能インデックス
JMP統計機能ガイド
このバージョンのヘルプはこれ以降更新されません。最新のヘルプは
https://www.jmp.com/support/help/ja/15.2
からご覧いただけます。
多変量分析
•
統計的詳細
•
「線形 横長データ」の手法と特異値分解
• 特異値分解および共分散行列の逆行列
前へ
•
次へ
特異値分解および共分散行列の逆行列
一部の多変量分析では、共分散行列の逆行列を計算する必要があります。ここでは、特異値分解によって共分散行列の逆行列を計算する方法について説明します。
標準化したデータ行列を
X
s
とし、また、
S
=
X
s
’X
s
とします。特異値分解された行列は、
S
と次のような関係になっています。
S
がフルランクの場合、
V
は
p
x
p
の直交行列で、
S
-1
は次のように表されます。
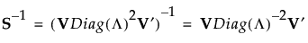
S
がフルランクではない場合、
Diag
(
Λ
)
-1
は一般化逆行列、
Diag
(
Λ
)
+
に置き換えられます。これらの逆行列や一般化逆行列は、
Diag
(
Λ
) の対角要素をその逆数に置き換えたものです。これにより、
S
の一般化逆行列は次のように定義されます。
この一般化逆行列は、特異値分解だけによって求めることができます。
横長データの線形判別分析における特異値分解の適用については、
「判別分析」章の
「横長データに対する線形判別法」
(100ページ)
を参照してください。