「時系列」の赤い三角ボタンのメニューには、次のような種類のモデルをあてはめるオプションがあります。
ARIMA
「ARIMAの指定」ウィンドウが開き、あてはめたいARIMAモデルを指定できます。ARIMAモデルは、過去の値や誤差(ランダムショックまたはイノベーションともいう)を線形結合させて将来値を予測するモデルです。ARIMAモデルのパラメータは、最尤法によって推定されます。ARIMAモデルを参照してください。
メモ: ARIMAモデルは、一般にARIMA(p,d,q)と書き表されます。p、d、qのうち、ゼロのものがある場合、その文字は省略されます。たとえば、pとdがゼロの場合、モデルは移動平均モデル(Moving Average model)となり、MA(q)と記されます。
図18.6 「ARIMAの指定」ウィンドウ
p,自己回帰次数
演算子j(B)の次数p。
d,差分の次数
差分演算子の次数(d)。
q,移動平均次数
演算子q(B)の次数q。
予測区間
予測区間の信頼水準を0~1の値に設定できます。
切片
モデルに切片項mを含むかどうかを指定します。
制約付きあてはめ
このオプションをオンにすると、モデルパラメータの推定に制限が課され、自己回帰パラメータは常に定常性の範囲に、また、移動平均パラメータは反転可能な範囲にとどまるようになります。
ヒント: 反復計算でなかなか真の最適値が見つからない場合や、時間がかかり過ぎている場合は、このオプションをオフにしてください。「モデルの要約」表を見ると、推定されたモデルの定常性や反転可能性がわかります。
モデルの指定を終え、[推定]をクリックすると、レポートウィンドウにモデルのレポートが追加されます。追加の時系列レポートを参照してください。
季節ARIMA
「季節ARIMAの指定」ウィンドウが開き、あてはめたい季節ARIMAモデルを指定できます。ウィンドウには、「ARIMAの指定」ウィンドウと同じ要素に加え、季節要素も含まれます。「1周期における時点数」オプションでは、1周期に含める時点数を指定します。季節ARIMAモデルの詳細については、季節ARIMAモデルを参照してください。
メモ: 季節ARIMAモデルは、Seasonal ARIMA(p,d,q)(P,D,Q)sと書き表されます。
モデルの指定を終え、[推定]をクリックすると、レポートウィンドウにモデルのレポートが追加されます。追加の時系列レポートを参照してください。
平滑化法モデル
[平滑化法モデル]メニューを選択すると、平滑化法に関係するモデルのオプションが表示されます。いずれかのモデルを選択すると、モデルのオプションを指定するウィンドウが開きます。「単純平滑化平均の指定」ウィンドウおよび平滑化法モデルのウィンドウを参照してください。実行すると、指定したモデルのレポートが追加されます。このレポートについては、モデルのレポートを参照してください。平滑化法モデルは、平均やトレンドなどが時間によって変化するモデルで、一般的なモデルは次式で表されます。

ここで
mtは、時間によって変化する平均項
btは、時間によって変化する傾き項
s(t)は、時間によって変化する季節項
atは、ランダムショック
一般的な平滑化法モデルの詳細については、指数平滑化法モデルの統計的詳細を参照してください。以下の平滑化法モデルが用意されています。
単純移動平均
(起動ウィンドウで[保留データの予測]または[Box-Cox変換の使用]のいずれかを選択した場合は使用できません。)複数の隣接する点の平均を予測値とするするモデルです。移動平均に使用する点の数は、平滑化のための「ウィンドウ(窓)」の幅によって定義されます。「単純平滑化平均の指定」ウィンドウでは、単純移動平均のウィンドウを指定します。平滑化ウィンドウのオプションを指定すると、「単純移動平均」ウィンドウが表示されます。オプションを指定すると、単純移動平均のプロットが描かれます。同じプロットに複数の単純移動平均モデルを追加していくことができます。「単純平滑化平均の指定」ウィンドウを参照してください。
1重指数平滑化法
水準(レベル)の項があるモデルです。1重指数平滑化法を参照してください。
2重指数平滑化法
水準項とトレンド項があるモデルです。この方法は、線形指数平滑化法の特殊なケースです。2重(Brown)指数平滑化法を参照してください。
線形指数平滑化法
水準項とトレンド項があるモデルです。線形(Holt)指数平滑化法を参照してください。
ダンプトレンド線形-指数平滑化法
水準項とダンプトレンド項があるモデルです。このモデルは、線形トレンドより複雑なトレンドが見られる時系列に適しています。ダンプトレンド線形-指数平滑化法を参照してください。
季節指数平滑化法
水準項と季節項があるモデルです。季節指数平滑化法を参照してください。
Winters法
水準項、トレンド項、および季節項があるモデルです。Winters法(加法型Winters法)を参照してください。
メモ: 単純移動平均モデル以外の各平滑化モデルは、いずれも従来の指数平滑化モデルであり、それぞれ対応する等価なARIMAモデルがあります。しかし、[ARIMA]オプションでARIMAモデルをあてはめることによって平滑化の重みを推定することはできません。平滑化モデルでは、ARIMAモデルとは別の方法でパラメータを制約しているからです。
状態空間平滑化
「状態空間平滑化モデルの指定」ウィンドウを表示します。このウィンドウでは、(2008)で定義されているさまざまな状態空間平滑化モデルをあてはめることができます。状態空間平滑化モデルは、誤差、トレンド、および季節の要素に基づいて定義されます。
– 誤差: 加法的(A)・乗法的(M)
– トレンド要素: なし(N)・加法的(A)・加法的ダンプ(Ad)・乗法的(M)・乗法的(ダンプ)(Md)
– 季節要素: なし(N)・加法的(A)・乗法的(M)
上記のETS(Error, Trend, Seasonal; 誤差・トレンド・季節)によって特定のモデルが表されます。「状態空間平滑化モデル」ウィンドウにあるチェックボックスを使用して、使用したいモデルの誤差・トレンド・季節を選択します。 [推奨されるモデルを選択]をクリックすると、プラットフォームによって推奨されるモデルに対応するチェックボックスが選択されます。このウィンドウが開いたときは、推奨されるモデルが選択された状態となっています。また、すべてのチェックボックスを選択するには[すべて選択]を、すべてのチェックボックスの選択を解除するには[すべて選択解除]をクリックします。
このウィンドウには、以下のオプションもあります。
周期
モデルをあてはめる際に考慮する季節性の周期を指定します。
パラメータの制約
オブザベーションが現在から離れるほど、モデルの現在の状態における効果が小さくなるように、パラメータを制約します。状態空間平滑化モデルでは、時間tにおける予測は、時間tまでのすべてのオブザベーションの重み付き合計と同じです。重みは、これらのパラメータの関数です。そのため、パラメータを制約することによって、過去のオブザベーションに対する重みがゼロになり、オブザベーションが現在から離れるほど、重みがよりゼロに近づきます。
[OK]をクリックすると、指定した一連のモデルがあてはめられます。あてはめられた各状態空間平滑化モデルは、それぞれ「モデルの比較」表に追加されます。「モデルの比較」レポートで、状態空間平滑化モデルの「レポート」チェックボックスを選択すると、「状態空間平滑化」レポートが表示されます。「状態空間平滑化」レポートを参照してください。
伝達関数
(起動ダイアログで入力系列を指定した場合のみ。)「伝達関数モデルの指定」ウィンドウが開きます。伝達関数モデルは、ARIMAモデルと同様、試行錯誤しながら探索・推定・比較を行うことにより作成していきます。伝達関数モデルを作成する前のデータを検討する際に、データを白色化(prewhiten)すると効果的なことがあります。白色化を参照してください。伝達関数の詳細については、伝達関数の統計的詳細を参照してください。
メモ: 現時点での[伝達関数]オプションは、欠測値に完全には対応していません。また、「時系列分析」プラットフォームでは、除外された行も欠測値として扱うため、除外された行を含むデータテーブルでも伝達関数をあてはめることはできません。
図18.7 「伝達関数モデルの指定」ウィンドウ
「伝達関数モデルの指定」ウィンドウは、以下のセクションに分かれています。
ノイズ系列の次数
ノイズ系列(雑音系列)について指定します。小文字のアルファベットは非季節性多項式の係数、大文字のアルファベットは季節性多項式の係数です。
入力を選択
モデルの入力系列を選択します。
入力系列の次数
入力系列について指定します。最初の3つの次数は非季節性多項式、次の4つの次数は季節性多項式に関連します。最後のオプションは入力ラグの次数です。
そのほか、モデルのあてはめを制御するオプションが3つあります。
切片
モデルに切片を含めるかどうかを指定します。チェックを外すと、mはゼロだとみなされます。
代替パラメータ化
分子の多項式において、一般的な回帰係数を因数分解してパラメータ化するかどうかを指定します。
制約付きあてはめ
AR係数およびMA係数に制約をつけます。
予測する期数
将来予測する時点数を指定します。データテーブルの最後に、Y変数の欠測値と入力変数の非欠測値を含む行がある場合は、これらの行が当初の設定値として使用されます。入力変数の値は、入力変数の将来値として扱われます。
予測区間
予測区間の信頼水準を指定します。
複数のARIMAモデル
「複数のARIMAモデル」ウィンドウが開き、次数の範囲を指定することで複数のARIMAまたは季節ARIMAモデルをあてはめることができます。ウィンドウに範囲を入力すると、それに応じて「モデルの総数」が更新されます。
図18.8 「複数のARIMAモデル」の指定ウィンドウ
モデルを指定し、[推定]をクリックすると、レポートウィンドウに各モデルのレポートが追加されます。追加の時系列レポートを参照してください。
平滑化法モデルとして[単純移動平均]を選択すると、「単純平滑化平均の指定」ウィンドウが開きます。以下の説明において、単純移動平均(SMA; Simple Moving Average)におけるウィンドウの幅をwとします。また、時点tにおけるw個の連続する観測値の平均を、ft=(yt+yt-1+yt-2+...+yt-(w-2)+yt-(w-1))/wとします。
図18.9 「単純平滑化平均の指定」ウィンドウ
平滑化を行うウィンドウの幅を入力してください。
平滑化を行うウィンドウの幅(w)は、平均を取る連続した点の数を指します。幅が大きいほど、移動平均の曲線は滑らかになります。
中心化なし
平滑化を行うウィンドウを、時点tまでの点で構成します。つまり、ftを時点tでの移動平均とします。
中心化
平滑化を行うウィンドウを、当該の時点を中心として設定します。
– wが奇数の場合、ftを、時点t-(w-1)/2での移動平均とします。
– wが偶数の場合、ftを、時点t-(w-1)/2での移動平均とします。ただし、データテーブルに保存されるftは、時点t-(w-2)/2での移動平均とします。
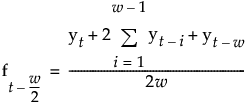
中心化し、偶数サイズの場合は二重
wが偶数の場合、ウィンドウは、該当の時点を中心とすることができません。このオプションは、ほぼ中心化された2つのウィンドウを構成し、それら2つの移動平均の平均を取ります。このオプションでは、移動平均は次のように求められます。

平滑化法モデルのオプションのうち、[単純移動平均]以外のものを選択すると、平滑化法モデルの指定ウィンドウが開きます。ウィンドウのタイトルやオプションの種類は、選択した平滑化法モデルによって異なります。
図18.10 平滑化法モデルの指定ウィンドウ
予測区間
予測区間の信頼水準を設定します。
1周期における時点数
(季節指数平滑化法モデルの場合のみ。)季節指数平滑化法モデルの1期間あたりの観測値数を指定します。
制約付き
推定において平滑化重みに対する制約の種類を指定できます。以下の制約オプションがあります。
0~1
平滑化重みの値を0~1の範囲に制限します。
制約なし
パラメータの値に特に制約を設けません。
定常性/反転可能性
該当するARIMAモデルが定常性および反転可能性を満たすように、パラメータが制約されます。
カスタム
分析者独自の制約を設定するためのパネルが表示されます。開かれたパネルにて、個々の平滑化の重みに対して独自の制約を設定できます。各平滑化の重みの名前の隣にあるポップアップメニューを使って、「境界あり」、「固定」、「制約なし」のどれかを選択してください。重みを特定の値に固定したり、重みに境界を設定したりするには、テキストボックスに正または負の実数を指定します。
図18.11 カスタムの平滑化重み
Figure 18.11の例では、「水準」の重み(a)が0.3の値に固定され、「トレンド」の重み(g)に対する境界が0.1と0.8に設定されています。そのため、「水準」の重みは0.3に固定されて、「トレンド」の重みは0.1~0.8の範囲内になります。重みを特定の値に固定すれば、その特定の重みのモデルの予測値や残差を計算できます。