이 예에서는 시뮬레이션 기능을 사용하여 비선형 모형에 대한 전향적 검정력 분석을 수행합니다. 부품의 검사 합격 또는 불합격에 영향을 미치는 6가지 연속형 요인의 주효과를 알아보려고 합니다. 반응은 이항이며 총 60회 런이 가능합니다.
로짓을 연결 함수로 사용한 일반화 선형 모형을 사용하여 성공 확률을 모델링합니다. 로짓 연결 함수는 로지스틱 모형을 적합시킵니다.

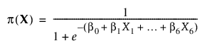
여기서 p(X)는 주어진 설계 설정 X = (X1, X2, ..., X6)에서 부품이 검사에 합격할 확률을 나타냅니다.
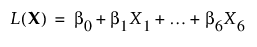
선형 예측 변수는 L(X)로 나타냅니다.

다음으로는 선형 예측 변수의 다음 계수 값에 대한 검정력을 구합니다.
|
계수 |
값 |
|---|---|
|
b0 |
0 |
|
b1 |
1 |
|
b2 |
0.9 |
|
b3 |
0.8 |
|
b4 |
0.7 |
|
b5 |
0.6 |
|
b6 |
0.5 |
선형 예측 변수의 절편이 0이므로 모든 요인이 0으로 설정될 경우 부품의 합격 확률은 50%가 됩니다. 다른 모든 요인이 0으로 설정될 경우 i번째 요인의 수준과 연관된 확률은 아래와 같습니다.
|
요인 |
Xi = 1일 때의 합격률 |
Xi = -1일 때의 합격률 |
차이 |
|---|---|---|---|
|
X1 |
73.11% |
26.89% |
46.2% |
|
X2 |
71.09% |
28.91% |
42.2% |
|
X3 |
69.00% |
31.00% |
38.0% |
|
X4 |
66.82% |
33.18% |
33.6% |
|
X5 |
64.56% |
35.43% |
29.1% |
|
X6 |
62.25% |
37.75% |
24.5% |
예를 들어 X1을 제외한 모든 요인이 0으로 설정될 경우에 검출하려는 합격률은 46.2%입니다. 검출하려는 합격률의 최소 차이는 X6을 제외한 모든 요인이 0으로 설정되고 해당 차이가 24.5%일 때 발생합니다.
이 섹션에서는 실험을 위한 사용자 설계를 구성합니다.
참고: 이 섹션의 단계를 건너뛰려면 도움말 > 샘플 데이터 폴더를 선택하고 Design Experiment/Binomial Experiment.jmp를 여십시오. DOE Simulate 스크립트 옆의 녹색 삼각형을 클릭한 다음 시뮬레이션된 반응 정의 절차로 이동하십시오.
1. DOE > 사용자 설계를 선택합니다.
참고: 사용자 설계가 비선형 상황에 최적은 아니지만 이 예에서는 간소화를 위해 비선형 설계 플랫폼 대신 사용자 설계 플랫폼을 사용할 수 있습니다. 비선형 설계 플랫폼을 사용하여 구성한 설계가 직교 설계보다 나은 이유를 보여 주는 예는 실험 설계 가이드의 비선형 설계의 예에서 확인하십시오.
2. "요인" 개요에서 N개 요인 추가 옆에 6을 입력합니다.
3. 요인 추가 > 연속형을 클릭합니다.
4. 계속을 클릭합니다.
주효과 설계를 구성 중이므로 "모형" 개요의 다른 사항은 변경하지 마십시오.
5. "런 수" 아래에서 사용자 지정 옆에 60을 입력합니다.
6. "사용자 설계"의 빨간색 삼각형을 클릭하고 반응 시뮬레이션을 선택합니다.
이렇게 하면 "테이블 생성"을 선택하여 설계 테이블을 구성한 후에 "반응 시뮬레이션" 창이 열립니다.
참고: step 7에서 "난수 시드값"을 설정하고 step 8에서 "시작 수"를 설정하면 이 예에 표시된 것과 동일한 설계가 재현됩니다. 설계를 직접 구성할 때는 이러한 단계가 필요하지 않습니다.
7. (선택 사항) "사용자 설계" 옆의 빨간색 삼각형을 클릭하고 난수 시드값 설정을 선택합니다. "12345"를 입력하고 확인을 클릭합니다.
8. (선택 사항) "사용자 설계" 옆의 빨간색 삼각형을 클릭하고 시작 수를 선택합니다. 1을 입력하고 확인을 클릭합니다.
9. 설계 생성을 클릭합니다.
10. 테이블 생성을 클릭합니다.
참고: Y 및 Y 시뮬레이션 열의 항목은 Figure 10.18에 표시된 것과 다를 수 있습니다.
그림 10.18 설계 테이블(일부)
그림 10.19 반응 시뮬레이션 창
설계 테이블과 "반응 시뮬레이션" 창이 나타납니다. 설계 테이블에 두 개의 열이 추가되었습니다.
– Y에는 "반응 시뮬레이션" 창에서 지정한 대로 시뮬레이션된 값 집합이 포함되어 있습니다.
– Y 시뮬레이션에는 "반응 시뮬레이션" 창에서 지정한 모형 계산식을 사용하여 값을 계산하는 계산식이 포함되어 있습니다. 계산식을 보려면 "열" 패널에서 열 이름 오른쪽의 더하기 기호를 클릭합니다.
다음 섹션으로 진행하여 이항 반응을 시뮬레이션하고 시뮬레이션된 반응에 일반화 선형 모형을 적합시키십시오.
성공 확률이 로지스틱 모형으로 주어지는 이항 반응 데이터를 시뮬레이션할 계획입니다. 반응 시뮬레이션에 대한 자세한 내용은 실험 설계 가이드의 반응 시뮬레이션에서 확인하십시오.
참고: 이 섹션의 단계를 건너뛰려면 Simulate Model Responses 스크립트 옆의 녹색 삼각형을 클릭하십시오. 그런 다음 일반화 선형 모형 적합 절차로 이동하십시오.
1. "반응 시뮬레이션" 창(Figure 10.19)에서 Y 아래에 다음 값을 입력합니다.
– "절편" 옆에 0을 입력합니다.
– X1 옆에는 기본적으로 1이 입력되어 있습니다. 이 값을 유지합니다.
– X2 옆에 0.9를 입력합니다.
– X3 옆에 0.8을 입력합니다.
– X4 옆에 0.7을 입력합니다.
– X5 옆에 0.6을 입력합니다.
– X6 옆에 0.5를 입력합니다.
2. "분포" 개요에서 이항을 선택합니다.
N 값은 1로 설정된 상태로 둡니다. 이 값은 시행당 1단위만 있음을 나타냅니다.
그림 10.20 완료된 반응 시뮬레이션 창
3. 적용을 클릭합니다.
설계 데이터 테이블에서 Y 시뮬레이션 열이 이항 값을 생성하는 계산식 열로 대체됩니다. Y 시행 횟수라는 열은 각 런의 시행 횟수를 나타냅니다.
4. (선택 사항) "열" 패널에서 Y 시뮬레이션 오른쪽의 더하기 기호를 클릭합니다.
그림 10.21 Y 시뮬레이션에 대한 랜덤 이항 계산식
5. 취소를 클릭합니다.
이 섹션에서는 일반화 선형 모형 분석법을 사용하여 로지스틱 모형을 적합시킵니다.
1. 데이터 테이블에서 모형 스크립트 옆의 녹색 삼각형을 클릭합니다.
2. Y 버튼 옆의 Y 변수를 클릭하고 제거를 클릭합니다.
3. Y 시뮬레이션을 클릭하고 Y 버튼을 클릭합니다.
이렇게 하면 Y가 무작위로 생성된 이항 값을 포함하는 열로 대체됩니다.
4. "분석법" 목록에서 일반화 선형 모형을 선택합니다.
5. "분포" 목록에서 이항을 선택합니다.
"연결 함수" 메뉴에 "로짓" 함수가 나타납니다.
6. 실행을 클릭합니다.
적합된 모형은 시뮬레이션된 이항 반응의 단일 집합을 기반으로 합니다.
이 섹션에서는 가능도비 검정 p 값을 시뮬레이션하여 예제 소개 부분에 제공된 계수 값을 사용한 선형 예측 변수에 의해 결정되는 확률 값 범위에서 차이를 감지할 검정력을 탐색합니다.
1. "효과 검정" 개요에서 Prob>ChiSq 열을 마우스 오른쪽 버튼으로 클릭하고 시뮬레이션을 선택합니다.
그림 10.22 시뮬레이션 창
"스위치 아웃할 열" 목록에서 Y 시뮬레이션 열이 선택되어 있는지 확인하십시오. 이 열에는 모형 적합에 사용된 값이 포함되어 있습니다. 각 시뮬레이션에 대해 "스위치 인할 열"에서 Y 시뮬레이션 열을 선택하면 Y 시뮬레이션의 값이 Y 시뮬레이션 열의 계산식을 사용하여 시뮬레이션된 값을 포함하는 새 열로 대체됩니다.
보고서에서 선택한 Prob>ChiSq 열은 연관된 주효과가 0인지 여부에 대한 가능도비 검정의 p 값입니다. "효과 검정" 테이블에 나열된 각 효과에 대해 "Prob>ChiSq" 값이 시뮬레이션됩니다.
2. 표본 수 옆에 500을 입력합니다.
3. 확인을 클릭합니다.
"일반화 선형 모형 시뮬레이션 결과" 데이터 테이블이 나타납니다.
참고: 반응 값이 시뮬레이션되었으므로 시뮬레이션된 p 값은 Figure 10.23에 표시된 것과 다를 수 있습니다.
그림 10.23 시뮬레이션 결과 테이블(일부)
테이블의 첫 번째 행은 Prob>ChiSq의 초기 값을 포함하므로 제외됩니다. 나머지 500개 행에는 시뮬레이션된 값이 포함되어 있습니다.
4. 검정력 분석 스크립트를 실행합니다.
참고: 반응 값이 시뮬레이션되었으므로 시뮬레이션 검정력 결과는 Figure 10.24에 표시된 것과 다를 수 있습니다.
그림 10.24 처음 세 효과에 대한 분포 그림
히스토그램에는 각 주효과에 대해 시뮬레이션된 500개의 Prob>ChiSq 값이 표시됩니다. "시뮬레이션 검정력" 개요에는 500회의 시뮬레이션에서 시뮬레이션된 기각률이 표시됩니다.
좀 더 보기 쉽게 보고서를 세로로 쌓고 그림을 선택 취소할 수 있습니다.
5. "분포"의 빨간색 삼각형을 클릭하고 쌓기를 선택합니다.
6. Ctrl 키를 누른 채 X1의 빨간색 삼각형을 클릭하고 이상치 상자 그림을 선택 취소합니다.
7. Ctrl 키를 누른 채 X1히스토그램 옵션을 선택한 다음 히스토그램을 선택 취소합니다.
참고: 반응 값이 시뮬레이션되었으므로 시뮬레이션 검정력 결과는 Figure 10.25에 표시된 것과 다를 수 있습니다.
그림 10.25 처음 세 개의 효과에 대한 검정력 결과
"시뮬레이션 검정력" 개요에서 각 행의 "기각률"은 해당 알파 값보다 작은 p 값의 비율을 나타냅니다. 예를 들어 계수 값 0.8, 확률 차이 38%에 해당하는 X3의 경우 유의 수준 0.05에 대한 시뮬레이션된 검정력은 379/500 = 0.758입니다. Table 10.1에는 유의 수준 0.05에서 모든 효과에 대해 추정된 검정력이 요약되어 있습니다. 이를 통해 "감지할 차이"가 감소할 때 검정력이 얼마나 감소하는지 알 수 있습니다. 또한 24.5%의 효과를 감지할 수 있는 검정력(X6)은 약 0.37에 불과함을 알 수 있습니다.
참고: 반응 값이 시뮬레이션되었으므로 시뮬레이션 검정력 결과는 Table 10.1에 표시된 것과 다를 수 있습니다.
요인 | Xi = 1일 때의 합격률 | Xi = -1일 때의 합격률 | 감지할 차이 | 알파=0.05일 때의 시뮬레이션 검정력(기각률) |
|---|---|---|---|---|
X1 | 73.11% | 26.89% | 46.2% | 0.852 |
X2 | 71.09% | 28.91% | 42.2% | 0.828 |
X3 | 69.00% | 31.00% | 38.0% | 0.758 |
X4 | 66.82% | 33.18% | 33.6% | 0.654 |
X5 | 64.56% | 35.43% | 29.1% | 0.488 |
X6 | 62.25% | 37.75% | 24.5% | 0.372 |