임의 효과 모형은 모든 요인이 임의 효과를 나타내는 모형입니다. 자세한 내용은 임의 효과에서 확인하십시오. 이러한 모형을 분산 성분 모형이라고도 합니다. 대개 임의 효과 모형은 계층적 모형입니다. 고정 효과와 임의 효과가 모두 포함된 모형을 혼합 모형이라고 합니다. 반복 측정 및 분할구 모형은 혼합 모형의 특수한 경우입니다. 혼합 모형이라는 용어는 임의 효과 모형을 포함하기 위해 사용되는 경우가 많습니다.
혼합 모형을 적합시키려면 모형 적합 시작 창에서 임의 효과를 지정해야 합니다. 그러나 모든 모형 효과가 임의 효과인 경우에는 계량형/계수형 게이지 차트 플랫폼에서 모형을 적합시킬 수도 있습니다. 이 플랫폼에서는 특정 모형만 적합시킬 수 있습니다. 계량형/계수형 게이지 차트 플랫폼에서 사용되는 적합 방법은 분산 성분 추정값에 음수를 허용하지 않습니다. 계량형/계수형 게이지 차트 플랫폼에서 분산 성분 모형을 적합시키는 방법에 대한 자세한 내용은 품질 및 공정 방법의 계량형 게이지 차트 및 계수형 게이지 차트에서 확인하십시오.
임의 효과는 수준이 일부 모집단의 랜덤 표본으로 간주되는 요인입니다. 대개 관심 대상은 임의 효과의 정확한 수준이 아니라 수준에 의해 반영되는 변동(분산 성분)입니다. 그러나 임의 효과의 특정 수준에 대한 반응을 예측하려는 상황도 있습니다. 기술적으로 임의 효과는 평균이 0이고 분산이 0이 아닌 정규 분포를 따르는 것으로 간주됩니다.
두 개의 특정 오븐이 금형 수축에 미치는 영향이 다른지 여부에 관심이 있다고 가정해 보겠습니다. 오븐은 한 번에 하나의 배치(50개 금형)만 처리할 수 있습니다. 한 배치당 50개씩 무작위로 선택한 세 개의 금형 배치를 두 오븐에 각각 연속적으로 넣어 연구를 설계합니다. 배치가 처리되면 각 배치에서 무작위로 선택한 5개 부품에 대해 수축이 측정됩니다.
Batch는 각 배치에 대해 하나씩 6개 수준이 있는 요인입니다. 따라서 모형에는 Oven과 Batch라는 두 가지 요인이 포함됩니다. 특히 각 오븐이 수축에 미치는 영향을 비교하는 데 관심이 있으므로 Oven은 고정 효과입니다. 그러나 특정 6개의 배치가 평균 수축에 미치는 영향에는 관심이 없습니다. 이러한 배치는 이 실험에서 선택할 수 있고 분석 결과를 일반화해야 하는 배치의 전체 모집단을 나타냅니다. Batch는 임의 효과로 간주됩니다. 가능한 모든 배치에서 수축 변동을 연구하는 이 실험에서 Batch 요인은 관심 대상입니다. 요인이 설명하는 수축의 변동량을 추정하는 데 관심이 있습니다. 또한 한 오븐에서 하나의 배치만 처리할 수 있으므로 Batch가 Oven에 내포됩니다.
이제 두 가지 사료 체계가 적용된 암탉의 알 무게에 관심이 있다고 가정해 보겠습니다. 10마리 암탉을 무작위로 선택하여 5마리는 사료 체계 A에 할당하고 5마리는 사료 체계 B에 할당합니다. 그러나 10마리의 암탉은 연구 설계에서 고려되지 않은 유전적 차이가 있습니다. 이 경우 특정 암탉이 낳은 달걀의 예측 무게 및 전체 암탉 간의 달걀 무게에 대한 분산에 관심이 있습니다.
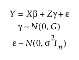
JMP에서는 다음과 같이 전통적 선형 혼합 효과 모형을 적합시킵니다.

다음은 각 요소에 대한 설명입니다.
• Y - 반응의 n x 1 벡터
• X - 고정 효과에 대한 n x p 설계 행렬
• b - 설계 행렬 X를 사용하는 알려지지 않은 고정 효과의 p x 1 벡터
• Z - 임의 효과에 대한 n x s 설계 행렬
• g - 설계 행렬 Z를 사용하는 알려지지 않은 임의 효과의 s x 1 벡터
• e - 알 수 없는 랜덤 오차의 n x 1 벡터
• G - 범주형 임의 효과의 각 수준에 대해 동일한 항목이 있고 각 연속형 임의 효과에 대해 단일 항목이 있는 s x s 대각 행렬
• In - n x n 항등 행렬
• g와 e는 독립적 관계
G의 대각 요소와 s2을 분산 성분이라고 합니다. 이러한 분산 성분은 고정 효과 벡터(b) 및 임의 효과 벡터(g)와 함께 추정 대상인 모형 모수입니다.
경우에 따라 이 모형의 공분산 구조를 분산 성분 구조라고도 합니다(SAS Institute Inc. 2023d). 이 공분산 구조만 표준 최소 제곱 분석법에서 사용할 수 있습니다.
혼합 모형 분석법은 잔차, AR(1)(1차 자기회귀), 비정형 및 공간을 포함한 다양한 공분산 구조를 적합시킵니다. 자세한 내용은 반복 구조 탭에서 확인하십시오.
JMP에서는 임의 효과가 있는 모형을 적합시키기 위해 다음 두 가지 방법을 제공합니다.
• REML - 제한 최대 가능도(항상 권장되는 방법)
• EMS - 기대 평균 제곱(이전 교재로 교육할 때만 사용)
REML 방법은 기존의 EMS 방법을 대체하는 주요 적합 방법입니다. REML은 적용 가능성 면에서 EMS 방법보다 훨씬 더 일반적입니다. REML 방법은 Patterson & Thompson(1974)에서 최초로 공개되었습니다. Wolfinger et al. (1994) 및 Searle et al. (1992)의 내용도 참조하십시오.
EMS 방법은 강력한 성능을 가진 컴퓨터가 나오기 전에 개발되었으며 적률 방법이라고도 합니다. 연구원들은 균형 잡힌 상황이 되도록 제한했고, 임의 효과 및 혼합 모형에 대한 추정값을 쉽게 계산할 수 있는 EMS 방법을 사용했습니다. 요즘도 임의 효과가 포함된 모형을 시작할 때 EMS 방법을 사용하는 교재가 많기 때문에 JMP에서 EMS 옵션을 제공합니다. 자세한 내용은 McCulloch et al., 2008, Poduri, 1997, Searle et al., 1992 등에서 확인하십시오.
REML 방법은 고정 효과 모수에 종속되지 않는 제한 가능도 함수의 최대 가능도 추정을 수행합니다. 이렇게 하면 분산 성분의 추정값이 생성되어 고정 효과의 추정값을 구하는 데 사용됩니다. 정밀도 추정값은 모수에 대한 공분산 행렬의 추정값을 기반으로 합니다. 데이터가 불균형한 경우에도 REML은 유용한 추정값, 검정 및 신뢰 구간을 제공합니다.
EMS 방법은 관측 평균 제곱을 기대 평균 제곱에 일치시켜 분산 성분의 추정값을 계산합니다. 균형 설계의 경우 추정값을 구하는 방법을 지정하는 복잡한 규칙 집합을 사용합니다. 이 기법을 불균형 데이터에 적용하면 문제가 있습니다.
균형 데이터의 경우 REML 추정값은 EMS 추정값과 동일합니다. 그러나 EMS와 달리 REML은 불균형 데이터에서도 정상적으로 수행됩니다.
임의 효과가 있는 모형은 모형 적합 시작 창에서 지정됩니다. 임의 효과를 지정하려면 "모형 효과 생성" 목록에서 해당 효과를 강조 표시하고 속성 > 임의 효과를 선택합니다. 그러면 모형 효과 목록의 효과 이름에 "&랜덤"이 추가됩니다. 임의 효과의 정의는 임의 효과에서 확인하십시오. 임의 효과를 별도의 효과 탭에서 지정할 수도 있습니다. 자세한 내용은 모형 효과 생성 탭에서 확인하십시오.
"모형 적합" 시작 창에서 효과에 "&랜덤" 속성이 추가되면 "REML(권장)" 또는 "EMS(전통적)" 적합 방법을 선택할 수 있습니다.
주의: 교차 및 내포 관계를 명시적으로 선언해야 합니다. 예를 들어 각 개체가 하나의 그룹에만 있는 경우 개체 ID는 해당 개체를 포함하는 그룹을 식별할 수도 있습니다. 이러한 경우 개체 ID를 그룹에 내포된 것으로 선언해야 합니다. 설계 구조를 명시적으로 정의할 수 있도록 주의하십시오.
분산 성분을 파라미터화하는 방식에는 두 가지가 있습니다(무제한 및 제한 방식). 고정 효과와 임의 효과의 교호작용 같은 혼합 효과가 모형에 있을 때 이 문제가 발생합니다. 이러한 교호작용 항은 임의 효과로 간주됩니다.
제한된 방식의 경우 임의 효과의 각 수준에 대해 고정 효과의 전체 수준에서 교호작용 효과의 합이 0으로 간주됩니다. 무제한 방식의 경우 혼합 항은 평균 0과 공통 분산을 사용하는 정규 분포의 독립된 랜덤 구현으로 간주됩니다. 이 가정은 일반적으로 잔차 오차에 적용되는 가정과 비슷합니다.
JMP와 SAS에서는 무제한 방식을 사용합니다. 대부분의 통계학 교재에는 제한된 방식이 사용되므로 이를 구분하는 것이 중요합니다. 두 가지 방식 모두 60년 동안 광범위하게 교육에 사용되었습니다. 두 가지 방식에 대한 자세한 내용은 Cobb 연구 자료(1998, Section 13.3)에서 확인하십시오.
분산은 항상 양수이지만 분산의 비편향 추정값이 음수인 상황이 있을 수 있습니다. 효과가 매우 약하거나, 분산 성분에 해당하는 수준이 매우 적으면 실험에서 음수 추정값이 발생할 수 있습니다. 의도하지 않았지만 관측된 데이터에서 음수 추정값이 생성될 수 있습니다.
JMP에서는 REML과 EMS 둘 다에 대해 음수 추정값을 생성할 수 있습니다. REML의 경우 "모형 적합" 시작 창에 "비유계 분산 성분"과 "분산 성분만 추정"이라는 두 가지 옵션이 있습니다. 기본적으로 "비유계 분산 성분" 옵션이 선택되어 있습니다. 이 옵션을 선택 취소하면 분산 성분 추정값이 음수가 아닌 값으로 제한됩니다.
고정 효과에 관심이 있는 경우 "비유계 분산 성분" 옵션을 선택된 상태로 두어야 합니다. 분산 추정값을 음수가 아닌 값으로 제한하면 고정 효과 검정에서 편향이 발생합니다.
"REML 분산 성분 추정값" 보고서만 표시하려면 이 옵션을 선택합니다. 분산 성분에만 관심이 있는 경우 분산 성분을 음수가 아닌 값으로 제한할 수 있습니다. "비유계 분산 성분" 옵션을 선택 취소하고 "분산 성분만 추정" 옵션을 선택하는 것이 적절할 수 있습니다.