모형 적합 시작 창의 "모형 효과 생성"에서 모형 효과를 입력합니다. 특정 유형의 모형을 얻는 방법에 대한 예는 모형 규격 템플릿에서 확인하십시오.
모형에 효과를 추가합니다. 이러한 효과는 "열 선택" 목록에서 직접 추가하거나 해당 목록에서 선택한 후 "매크로" 또는 "속성"을 사용하여 수정할 수 있습니다. "교차" 또는 "내포"를 사용하여 효과를 생성하고 추가하거나 수정할 수도 있습니다. 효과에 포함된 변수의 모델링 유형과 효과에 할당된 속성에 따라 해당 효과가 모형에서 처리되는 방식이 결정됩니다.
참고: "모형 효과 생성" 목록에서 효과를 제거하려면 효과를 두 번 클릭하거나 선택한 후 제거를 클릭하거나 Backspace 키 또는 Delete 키를 누르십시오.
교호작용 또는 다항식 효과를 생성합니다. "열 선택" 목록에서 두 개 이상의 변수를 선택하고 교차를 클릭합니다. 아니면 "열 선택" 목록에서 하나 이상의 변수를 선택하고 "모형 효과 생성" 목록에서 하나 이상의 효과를 선택한 후 교차를 클릭합니다.
교차효과를 파라미터화하고 코드화하는 방법에 대한 자세한 내용은 통계 상세 정보에서 확인하십시오.
참고: 최대 10개의 열을 결합하는 효과를 교차 및 내포로 생성할 수 있습니다.
제품 코팅에 염료를 도포해야 한다고 가정해 보겠습니다. 염료 pH(Dye pH)와 염료 농도(Dye Concentration) 둘 다 코팅 색상에 영향을 주는 것 같습니다. 이러한 요인 효과를 알아보기 위해 염료 pH 및 염료 농도가 각각 높은 수준과 낮은 수준으로 설정된 실험을 설계합니다. 염료 pH가 색상에 미치는 영향은 염료 농도의 수준이 낮을 때보다 높을 때 더 뚜렷하게 나타날 수 있습니다. 이를 교호작용이라고 합니다. 가능한 이 교호작용을 모델링하려면 "모형 효과 생성" 목록에서 교차 항(Dye pH * Dye Concentration)을 포함합니다. 이렇게 하면 JMP에서 교호작용을 검정할 수 있습니다.
내포 효과를 생성합니다. 한 효과(B)의 수준이 다른 효과(A)의 단일 수준 내에서만 발생하는 경우 B가 A 안에 내포된다고 합니다. 일반적으로 B[A] 표기가 사용되며 이는 "B가 A 안에 내포되어 있다"는 의미입니다. 내포는 계층 관계를 정의합니다. A를 외부 효과라고 하고 B를 내부 효과라고 합니다. 내포된 항은 범주형이어야 합니다.
참고: 내포 항은 외부에서 내부 순으로 지정해야 합니다. 예를 들어 B가 A 안에 내포되고 C가 B 안에 내포된 경우 모형은 A, B[A], C[B,A]((A, B[A], C[A,B]와 같음)로 지정됩니다. 최대 10개의 열을 결합하는 효과를 교차 및 내포로 생성할 수 있습니다.
두 학교의 각 수학 교사를 내포의 예로 들어보겠습니다. 한 학교에는 세 명의 수학 교사가 있고 다른 학교에는 두 명의 수학 교사가 있습니다. 각 학교의 각 교사는 중복되지 않는 학생 그룹으로 구성된 2 ~ 3개의 학급을 가르칩니다. 이 예에서 학급(C)은 교사(B)에 내포되고 교사(B)는 학교(A)에 내포됩니다. "모형 적합" 시작 창에서 다음과 같이 효과를 입력합니다.
1. A와 B를 모두 "모형 효과 생성" 패널에 추가합니다.
2. "모형 효과 생성" 패널에서 B를 선택합니다.
3. "열 선택" 목록에서 A를 선택합니다.
4. 내포를 클릭합니다. 그러면 B가 B[A] 효과로 변환됩니다.
5. C를 "모형 효과 생성" 패널에 추가합니다.
6. "모형 효과 생성" 패널에서 C를 선택합니다.
7. "열 선택" 목록에서 A와 B를 선택합니다.
8. 내포를 클릭합니다. 그러면 C가 C[A, B] 효과로 변환됩니다.
"매크로" 목록에서 일반적으로 사용되는 모형에 대한 효과를 자동으로 생성하는 옵션을 선택하고 "모형 효과 생성" 목록에 입력합니다.
완전 요인
"열 선택" 목록에서 선택한 열에 대한 모든 주효과 및 교호작용을 생성합니다. 이러한 효과는 "열 선택" 목록에서 주효과가 나열된 순서에 따라 입력됩니다. 대체 순서에 대한 내용은 이 테이블의 정렬된 요인 배치를 참조하십시오.
특정 차수까지의 요인
모든 주효과 및 지정된 차수까지의 교호작용을 생성합니다. 매크로 버튼 아래의 차수 상자에 차수를 지정합니다.
정렬된 요인 배치
완전 요인 옵션과 동일한 효과 집합을 생성하지만 차수 순으로 나열됩니다. 모든 주효과가 먼저 나열되고 그 뒤에 모든 이원 교호작용, 모든 삼원 교호작용 등이 나열됩니다.
반응 표면
주효과, 이원 교호작용 및 2차 항을 생성합니다. 선택한 주효과에는 RS로 표시된 반응 표면 속성이 제공됩니다. RS 속성이 주효과에 적용되고 "표준 최소 제곱" 분석법을 선택하면 반응 표면 보고서가 제공됩니다. 이 보고서에는 반응 표면의 임계값 및 형태에 대한 정보가 포함됩니다.
참고: 이 옵션은 범주형 효과에 대한 2차 항을 생성하지 않습니다.
속성의 "반응 표면 효과" 및 실험 설계 가이드의 반응 표면 설계도 확인하십시오.
혼합물 반응 표면
주효과 및 이원 교호작용을 생성합니다. 주효과에는 반응 표면(RS) 및 혼합물(혼합물) 속성이 표시됩니다. "표준 최소 제곱" 분석법을 사용할 경우 혼합물 속성은 혼합 모형을 적합시킵니다. RS 속성은 혼합 모형과 관련된 반응 표면 보고서를 생성합니다.
속성의 "혼합 효과" 및 실험 설계 가이드의 반응 표면 설계도 확인하십시오.
특정 차수까지의 다항식
주효과 및 지정된 차수까지의 다항식 항을 생성합니다. 매크로 버튼 아래의 차수 상자에 차수를 지정합니다.
참고: 이 옵션은 범주형 효과에 대한 고차 항을 생성하지 않습니다.
Scheffe 3차
혼합물 실험에 대한 반응 표면을 지정하는 데 유용한 주효과, 교호작용 및 Scheffe 3차 항을 생성합니다. 이 매크로는 완전 3차 모형을 생성합니다.
혼합물에 대해 3차 다항식 모형을 적합시키는 경우 X1*X1*X2와 같은 짝수 거듭제곱 항은 추정할 수 없으므로 포함하지 않아야 합니다. 그러나 표면의 완전 다항식 규격에는 Scheffe 3차 항이라고 하는 X1*X2*(X1 – X2) 형식의 항이 포함될 수 있습니다.
차수 상자에 3을 입력한 후 혼합물 반응 표면 매크로 명령을 선택하면 Scheffe 3차 항도 포함됩니다.
부분 3차
주효과, 이원 교호작용, 2차 항 및 주효과와 2차 항 간의 교호작용을 생성합니다. 이 매크로는 반응 표면 매크로에 정의된 항에 주효과와 2차 항 간의 교호작용을 추가하는 것과 같습니다.
참고: 이 옵션은 범주형 효과에 대한 2차 항을 생성하지 않습니다.
그룹화된 회귀변수
보고서의 여러 부분에서 하나의 효과로 처리되는 연속형 요인 집합에 대한 단일 효과를 생성합니다. "효과 요약"에서 그룹화된 효과를 추가하거나 제거할 수 있습니다. 그룹의 각 요인에 대한 개별 그림과 검정이 아니라 각 그룹 효과에 대해 하나의 레버리지 그림과 하나의 효과 검정을 나타냅니다. 이 옵션은 데이터 테이블에 범주형 효과 수준을 나타내는 표시자 열이 포함되어 있을 때 유용할 수 있습니다.
참고: 회귀변수 그룹에 포함된 비연속형 요인은 분석에 포함되지 않습니다.
"속성" 목록에서는 "모형 효과 생성" 목록에서 선택한 효과에 할당할 수 있는 속성을 선택합니다.
임의 효과
효과에 "랜덤" 속성을 할당합니다. 임의 효과에 대한 자세한 내용은 임의 효과 및 적합 방법 지정에서 확인하십시오.
반응 표면 효과
효과에 RS 속성을 할당합니다. 관련된 모형 항이 "모형 효과 생성" 목록에 포함되어 있어야 합니다. "매크로" 목록의 "반응 표면" 옵션은 이러한 항을 자동으로 생성하고 주효과에 RS 속성을 할당합니다. 반응 표면 보고서를 생성하려면 교호작용 및 다항식 항에 RS 속성을 할당할 필요가 없습니다. 주효과에만 이 속성을 할당하면 됩니다.
로그 분산 효과
효과에 "로그 분산" 속성을 할당합니다. 이 속성은 효과가 반응의 분산 모형에 포함된다는 것을 나타냅니다.
모형의 효과를 반응의 평균과 분산 모두에 포함하려면 효과를 두 번 지정해야 합니다. 탭 형식 인터페이스에서 "평균 효과" 탭과 "분산 효과" 탭에 모두 표시되어야 합니다. 아니면 "평균 효과" 탭에서 두 번 입력할 수 있으며, 한 번은 "로그 분산 효과" 속성을 사용하고 또 한 번은 "로그 분산 효과" 속성을 사용하지 않습니다.
혼합 효과
주효과에 "혼합물" 속성을 할당합니다. 이 속성은 혼합물과 관련된 주효과를 지정하는 데 사용됩니다. "매크로" 목록의 "혼합물 반응 표면" 옵션은 선택한 효과에 혼합물 속성을 자동으로 할당하고 가능한 경우 반응 표면 보고서를 제공합니다.
제외된 효과
효과에 "제외됨" 속성을 할당합니다. 이 속성은 모형 적합에서 해당 효과를 제외합니다. 그러나 이 효과는 적합 결여 검정을 위해 관측값을 그룹화하는 데 사용됩니다. "표준 최소 제곱" 분석법을 사용할 경우 이 효과에 대한 최소 제곱 평균 테이블이 제공됩니다.
매듭이 지정된 스플라인 효과
연속형 주효과에 "매듭 지정" 속성을 할당합니다. 이 속성은 효과에 대한 3차 스플라인을 모형 규격에 암시적으로 추가합니다. 자세한 내용은 매듭이 지정된 스플라인 효과에서 확인하십시오.
매듭이 지정된 스플라인은 예측 변수의 유연한 함수를 사용하여 반응 Y를 적합시키는 데 사용됩니다. 단일 예측 변수 X를 예로 들겠습니다. "매듭이 지정된 스플라인 효과"가 X에 할당되고 k개의 매듭이 지정되면 k - 2개의 추가 효과가 예측 변수 집합에 암시적으로 추가됩니다. 이러한 각 효과는 매듭에 의해 세그먼트가 정의되는 조각별 3차 다항식 스플라인입니다.
스플라인 수는 매듭 수에 따라 결정됩니다. 스플라인과 관련된 계수는 분석법에 사용되는 방법을 기반으로 추정됩니다. 매듭이 지정된 스플라인 효과를 연속형 효과에 할당할 때 기본 매듭 선택 프로세스 중에서 선택하거나, 다른 등간격 매듭 수를 지정하거나, 사용자 매듭 점 집합을 지정해야 합니다.
기본 옵션을 선택하는 경우 매듭 배치는 문헌의 지침을 따릅니다. 특히 관측값이 100개 이하인 경우 첫 번째 매듭과 마지막 매듭은 각각 최소값과 최대값의 5번째 점입니다. 그렇지 않은 경우 첫 번째 매듭과 마지막 매듭은 각각 매듭이 5개 이하일 때는 0.05 분위수와 0.95 분위수에 배치되고, 매듭이 5개보다 많을 때는 0.025 분위수와 0.975 분위수에 배치됩니다. 관측값이 30개를 초과하는 경우 기본 매듭 수는 5개이고 그렇지 않은 경우 기본 매듭 수는 3개입니다. 매듭이 지정된 스플라인은 Stone 스플라인 또는 Stone-Koo 스플라인이라고도 합니다. 자세한 내용은 Stone & Koo(1985)에서 확인하십시오.
참고: 매듭이 지정된 스플라인은 주효과 연속형 항에 대해서만 구현됩니다.
매듭이 지정된 스플라인은 평활 스플라인과 대조적으로 다음과 같은 특성을 나타냅니다.
• 매듭이 지정된 스플라인은 항이 많은 일반 모형 내에서 사용되지만 평활 스플라인은 이변량 회귀에 사용됩니다.
• 회귀 기저가 반응의 함수가 아닙니다.
• 매듭이 지정된 스플라인은 절약성 원리에 따라 k개 매듭 점의 곡률을 위해 k – 2개의 항만 추가합니다.
• 매듭이 지정된 스플라인은 데이터 범위를 벗어나는 외삽이 다항식이 아니라 직선이라는 점에서 순수 다항식에 비해 보수적입니다.
• 간단한 방법으로 곡률을 검정할 수 있습니다.
참고: 매듭이 지정된 스플라인 효과가 있는 모형의 예는 매듭이 지정된 스플라인 효과의 사용 예에서 확인하십시오.
"변환" 옵션은 선택한 Y 열 또는 "모형 효과 생성" 텍스트 상자에서 선택한 주효과를 변환합니다.
참고: "열 선택" 목록에서 마우스 오른쪽 버튼을 클릭하고 "변환"을 선택하여 열을 변환할 수도 있습니다. 변환된 열에 대한 참조가 "열 선택" 목록에 나타납니다. 그런 다음 데이터 테이블 열과 마찬가지로 모형 적합 창의 열을 사용할 수 있습니다. 자세한 내용은 JMP 사용의 JMP 플랫폼에서 열 변환에서 확인하십시오.
없음
적용된 변환 옵션을 제거합니다.
로그
선택한 변수에 자연 로그 변환을 적용합니다.
Sqrt
선택한 변수의 값 제곱근을 적용합니다.
제곱
선택한 변수의 값 제곱을 적용합니다.
역수
변수 X에 1/X 변환을 적용합니다.
지수
선택한 변수에 지수 변환을 적용합니다.
Arrhenius
변수 T(섭씨 온도)에 아레니우스 변환을 적용합니다.

이 식은 아레니우스 관계식의 구성 요소로, 여기에 활성화 에너지를 곱하게 됩니다.
아레니우스 역
변수 X에 아레니우스 역 변환을 적용합니다.

로짓
선택한 열에 대한 로지스틱 함수의 역함수를 계산합니다(여기서 p는 0 ~ 1 사이).

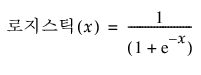
로지스틱
선택한 열에 대한 로지스틱(Squish 및 Logist라고도 함) 함수를 계산합니다(결과 범위 0 ~ 1).

로지스틱 백분율
선택한 열에 대한 로짓을 백분율로 계산합니다(여기서 pct는 0 ~ 100 범위의 백분율).

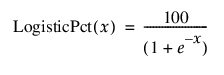
LogisticPct
선택한 열에 대한 로지스틱(또는 Logist)을 백분율로 계산합니다(결과 범위 0 ~ 100).

절편 항이 없는 모형을 적합시키려면 "절편 없음"을 선택합니다. 특정 모델링 구조에는 절편 모형이 필요하지 않습니다. 이러한 경우 "절편 없음" 상자가 기본으로 선택되어 있습니다.
다음 분석법의 경우 탭 형식 인터페이스를 사용하여 모형 효과를 입력할 수 있습니다.
참고: 첫 번째(주) 탭에서 효과에 적용된 속성은 모형에서 효과가 처리되는 방법을 결정합니다. 모형을 실행한 후 보고서의 빨간색 삼각형 메뉴에서 "모형 대화상자"를 요청하면 해당 효과가 적절한 탭에 나타납니다.
표준 최소 제곱
다음과 같이 모형 효과를 입력합니다.
고정 효과 탭
고정 효과로 모델링할 효과를 입력합니다. 고정 효과는 특정 처리 수준이 관심 대상인 효과입니다. 전체 처리 수준에 대해 평균 반응을 비교할 수 있습니다.
임의 효과 탭
임의 효과로 모델링할 효과를 입력합니다. 임의 효과는 수준이 더 큰 모집단의 랜덤 표본으로 간주되는 효과입니다. 이 효과로 인한 반응의 변동을 추정할 수 있습니다.
혼합 모형
다음과 같이 모형 효과를 입력합니다.
고정 효과 탭
고정 효과로 모델링할 효과를 입력합니다. 이 테이블에서 "표준 최소 제곱"을 참조하십시오.
임의 효과 탭
임의 효과로 모델링할 효과를 입력합니다. 분산 성분 모형 및 랜덤 계수 모형에 사용합니다.
반복 구조 탭
반복 효과에 대한 공분산 구조를 선택하려면 사용합니다.
일반화 선형 혼합 모형
다음과 같이 모형 효과를 입력합니다.
고정 효과 탭
고정 효과로 모델링할 효과를 입력합니다. 이 테이블에서 "표준 최소 제곱"을 참조하십시오.
임의 효과 탭
임의 효과로 모델링할 효과를 입력합니다. 분산 성분 모형 및 랜덤 계수 모형에 사용합니다.
반복 구조 탭
반복 효과에 대한 공분산 구조를 선택하려면 사용합니다.
로그 선형 분산
다음과 같이 모형 효과를 입력합니다.
평균 효과 탭
기대값을 모델링할 효과를 입력합니다.
분산 효과 탭
분산을 모델링할 효과를 입력합니다.
효과의 기대값과 분산을 모두 모델링하려면 두 탭에 모두 입력해야 합니다.
모수 생존
다음과 같이 모형 효과를 입력합니다.
위치 효과 탭
위치 모수 mu 또는 형상 모수(Weibull 분포의 경우)를 모델링하는 데 사용할 효과를 입력합니다.
척도 효과 탭
척도 모수를 모델링하는 데 사용할 효과를 입력합니다.
반응 변수 선별
다음과 같이 모형 효과를 입력합니다.
고정 효과 탭
고정 효과로 모델링할 효과를 입력합니다. 이 테이블에서 "표준 최소 제곱"을 참조하십시오.
임의 효과 탭
임의 효과로 모델링할 효과를 입력합니다. 분산 성분 모형 및 랜덤 계수 모형에 사용합니다.