모형 적합 플랫폼의 표준 최소 제곱 분석법에서 검정력 계산과 관련된 옵션은 연속형 반응 모형에만 사용할 수 있습니다. 다음과 같은 컨텍스트에서 검정력 및 관련된 검정 상세 정보를 사용할 수 있습니다.
각 모수 추정값에 대한 후향적 검정 상세 정보를 얻으려면 보고서의 빨간색 삼각형 메뉴에서 추정값 > 모수 검정력을 선택합니다. 이 옵션은 현재 연구 데이터를 기반으로 각 모수에 대한 0.05 유의 수준 검정의 최소 유의값, 최소 유의 개수 및 조정 검정력을 표시합니다.
특정 효과의 F-검정에 대한 후향적 또는 전향적 상세 정보를 얻으려면 효과의 빨간색 삼각형 메뉴에서 검정력 분석을 선택합니다. 효과 선별 및 최소 보고서 분석법의 경우 각 효과에 대한 보고서는 "효과 상세 정보" 아래에 있습니다. 효과 레버리지 분석법의 경우 효과에 대한 보고서는 보고서의 첫 번째(전체 모형) 열 오른쪽에 있습니다.
하나 이상의 대비 검정에 대한 후향적 또는 전향적 상세 정보를 얻으려면 효과의 빨간색 삼각형 메뉴에서 최소 제곱 평균 대비를 선택합니다. 원하는 대비를 정의하고 "완료"를 클릭합니다. "대비" 빨간색 삼각형 메뉴에서 검정력 분석을 선택합니다.
사용자 검정에 대한 후향적 또는 전향적 상세 정보를 얻으려면 반응의 빨간색 삼각형 메뉴에서 추정값 > 사용자 검정을 선택합니다. 원하는 대비를 정의하고 완료를 클릭합니다. "사용자 검정" 빨간색 삼각형 메뉴에서 검정력 분석을 선택합니다.
첫 번째를 제외한 모든 경우에 "검정력 분석"을 선택하면 "검정력 상세 정보 창"이 열립니다. 그러면 "검정력 상세 정보 창"에 정보를 입력하여 필요에 따라 계산을 수정할 수 있습니다.
효과 크기(d)는 귀무가설과 관련 모수의 실제 값 간의 차이를 측정한 것입니다. 귀무가설은 0으로 설정된 단일 선형 대비 또는 이러한 대비 여러 개로 공식화할 수 있습니다. d의 값은 대비의 실제 값과 가설 값 0 간의 차이를 반영합니다.
일반적으로 효과 크기는 다음과 같이 지정됩니다.

여기서
는 모집단 모수로 주어진 검정 대상 가설의 제곱합이고 n은 총 관측값 수입니다.
가능한 관측값이 있는 경우 추정된 효과 크기는 가설에 대해 계산된 제곱합을 d의 계산식에 대입하여 계산됩니다.
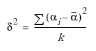
i번째 그룹의 평균 반응이 ai인 k개 수준의 균형 일원 배치에 대한 특수한 경우를 예로 들겠습니다.

JMP 모수를 코드화하여 i =1, 2,..., k-1에 대해 다음과 같이 됩니다.

및

따라서 이러한 모수에 관해 2수준 균형 배치에 대한 d는 다음과 같이 제공됩니다.

또는 
k개 수준이 있는 불균형 일원 배치에서 i번째 그룹의 평균 반응이 ai, ni는 관측값,
인 경우:

검정력은 실제 효과 크기가 지정된 값일 때 a 유의 수준에서 가설에 대한 F-검정이 유의할 확률입니다. 실제 효과 크기가 d인 경우 검정 통계량은 다음과 같이 계산된 비중심성 모수를 갖는 비중심 F 분포를 따릅니다.

귀무가설이 참인 경우, 즉 효과 크기가 0이면 비중심성 모수는 0이고 검정 통계량은 중심 F 분포를 따릅니다.
검정력은 l에 따라 증가합니다. 특히 검정력은 표본 크기 n과 효과 크기 d,에 따라 증가하고 오차 분산 s2에 따라 감소합니다.
Cohen(1977)과 같은 일부 참고 도서에는 JMP에서 사용하는 원시 효과 크기 대신 표준화된 효과 크기 D = d/s가 사용됩니다. 표준화된 효과 크기의 경우 비중심성 모수는 l = nD2입니다.
"검정력 상세 정보 창"에서 d는 처음에
로 설정되어 있습니다. SSHyp는 가설에 대한 제곱합이고 n은 현재 연구의 관측값 수입니다. SSHyp는 데이터에서 계산된 d의 추정값이지만 이러한 추정값은 편향되어 있습니다(Wright and O’Brien 1988). d에 대한 표본 추정값을 사용하여 검정력을 계산하려면 "검정력 계산" 대신 "조정 검정력 및 신뢰 구간" 계산을 사용할 수 있습니다. 조정 검정력 계산은 편향이 부분적으로 수정된 d의 추정값을 사용합니다. 자세한 내용은 조정 검정력 계산에서 확인하십시오.
표본 크기별 검정력 그림을 보려면 "검정력" 보고서 맨 아래의 빨간색 삼각형 메뉴에서 "검정력 그림" 옵션을 선택합니다. 그러면 "검정력" 테이블의 "검정력" 및 "개수" 열이 그림으로 표시됩니다. Figure 3.52에 표시된 그림은 후향적 검정력 분석의 예에서 얻은 "검정력" 테이블을 그림으로 나타낸 결과입니다.
그림 3.52 표본 크기별 검정력 그림
LSN(최소 유의 개수)은 델타, 시그마 및 알파 값이 주어졌을 때 유의한 검정 결과를 생성하는 최소 관측값 수입니다. 델타, 시그마 및 알파는 각각 효과 크기, 오차 표준편차 및 유의 수준을 나타냅니다.
참고: LSN은 유의 확률을 고려하지 않으므로 권장되는 표본 크기가 아닙니다. 이 값은 지정된 델타 및 시그마 값을 기반으로 계산됩니다.
LSN에는 다음과 같은 특성이 있습니다.
• LSN이 실제 표본 크기 n보다 작으면 효과가 유의합니다.
• LSN이 n보다 크면 효과가 유의하지 않습니다. 추가 데이터가 현재 표본과 동일한 구조 결과를 나타낼 것이라고 생각하는 경우 LSN은 유의성을 달성하는 데 필요한 데이터 양을 제안합니다.
• LSN이 n과 같으면 p 값이 유의 수준 알파와 같습니다. 이 경우 검정은 유의성의 경계에 있습니다.
• n = LSN일 때 계산된 효과 크기 검정의 검정력은 항상 0.5보다 크거나 같습니다. 그러나 검정력은 0.5에 가까울 수 있으며 이는 계획 목적상 낮은 것으로 간주됩니다.
LSV(최소 유의값)는 단일 자유도 가설 검정에 대해 계산됩니다. 여기에는 좀 더 일반적인 선형 대비는 물론 개별 모형 모수의 유의성에 대한 검정이 포함됩니다. LSV는 지정된 유의 수준에서 유의한 것으로 간주될 최소 효과 크기(절대값)입니다. LSV는 확률 척도가 아니라 모수 척도에 따라 검정의 민감도를 측정합니다.
LSV에는 다음과 같은 특성이 있습니다.
• 모수 추정값 또는 대비의 절대값이 LSV보다 크거나 같으면 유의성 검정의 p 값이 알파보다 작거나 같습니다.
• 모수 추정값 또는 대비의 절대값은 유의성 검정의 p 값이 알파와 같을 때만 LSV와 같습니다.
• LSV는 모수 또는 모수의 선형 결합에 대한 1 – a 신뢰 구간의 반지름입니다. 1 – a 신뢰 구간은 모수 또는 대비의 추정값에서 중심화됩니다.
검정력은 해당 검정이 유의한 결과를 제공할 확률입니다. 검정력은 효과 크기 d, 유의 수준 a, 오차 표준편차 s 및 표본 크기 n의 함수입니다. 검정력은 지정된 유의 수준에서 지정된 효과 크기를 감지할 확률입니다. 일반적으로 실제적 또는 과학적 중요도의 차이를 감지할 검정력이 높은 연구를 설계하기를 원합니다.
검정력에는 다음과 같은 특성이 있습니다.
• 모수의 실제 값이 가설 값이면 검정력이 검정의 유의 수준과 같습니다. 일반적으로 유의 수준은 0.05와 같이 작은 값입니다. 가정된 가설이 참일 때 유의한 결과를 얻을 확률이 낮아야 하므로 작은 값이 적절합니다.
• 일반적으로 모수의 실제 값이 가설 값이 아니면 검정력이 가능한 한 커야 합니다.
• 표본 크기가 증가하고, 오차 분산이 감소하고, 실제 모수 값과 가설 값의 차이가 증가할수록 검정력이 증가합니다.
후향적 검정력 분석에서는 일반적으로 표본 추정값이 검정력 계산과 관련된 모집단 모수를 대체합니다. 이로 인해 비중심성 모수 추정값이 양의 편향을 갖게 됩니다(Wright and O’Brien 1988). 조정 검정력 계산은 이 편향이 부분적으로 수정된 비중심성 모수의 추정값을 기반으로 합니다.
조정 검정력에 대한 신뢰 구간을 생성할 수도 있습니다. 이 신뢰 구간은 넓은 경향이 있습니다. 자세한 내용은 Wright and O’Brien 연구 자료(1988)에서 확인하십시오.
조정 검정력 및 신뢰 구간 계산은 데이터에서 추정된 d 값(기본적으로 제공되는 값)에만 관련됩니다. 다른 델타 값의 경우 조정 검정력 및 신뢰 구간이 제공되지 않습니다.
자세한 내용은 조정 검정력 계산에서 확인하십시오.
전향적 분석은 "지정된 크기의 차이가 존재하는 경우 제안된 표본 크기, 유의 수준 및 오차 분산 추정값이 주어지면 차이를 감지할 수 있습니까?"라는 질문에 답하는 데 도움이 됩니다. 전향적 검정력 분석에서는 그룹 평균 및 표본 크기의 추정값을 데이터 테이블에 제공해야 합니다. 또한 "검정력 상세 정보 창"에서 오차 표준편차 s의 추정값도 제공해야 합니다.
독립된 세 개 그룹의 평균을 비교하는 경우를 가정해 보겠습니다. 지정된 검정력을 달성하기 위한 표본 크기를 계산하려면 DOE > 설계 진단 > 표본 크기 및 검정력을 선택한 후 k개의 표본 평균을 선택합니다. 그런 다음 "표준편차" 옆에 오차 표준편차의 추정값을 입력합니다. 감지할 최소 차이를 반영하는 평균을 "예상 평균" 목록에 입력합니다. 예를 들어 두 평균 사이의 8 단위 차이를 감지하려면 평균의 극단값을 입력합니다(예: 40, 40, 48). 검정력은 총 평균으로부터의 편차를 기반으로 하므로 원하는 차이를 반영하는 값만 입력할 수 있습니다(예: 0, 0, 8).
계속을 클릭하면 검정력 대 표본 크기를 보여 주는 그래프가 표시됩니다. 대신 "표본 크기" 창에서 검정력 또는 표본 크기를 지정하면 다른 통계량이 계산되어 "표본 크기" 창에 표시됩니다. 특히 검정력을 지정할 경우 제공되는 표본 크기는 필요한 총 표본 크기입니다. k개의 표본 평균 계산은 동일한 그룹 크기를 가정합니다. 세 그룹의 경우 표본 크기를 3으로 나누어 개별 그룹 크기를 구합니다. K개의 표본 평균에 대한 자세한 내용은 실험 설계 가이드의 ANOVA에 대한 검정력에서 확인하십시오.
크기가 다른 그룹을 사용하는 연구를 설계한다고 가정해 보겠습니다. 박테리아 수를 줄이는 것으로 알려진 두 가지 처리를 연구하기 위한 실험을 계획해야 합니다. 이러한 처리 효과를 처리가 적용되지 않은 대조군의 결과와 비교하려고 합니다. 또한 둘 중 한 처리 그룹과 대조군의 평균 간에 최소 8 단위의 차이를 감지하려고 합니다. 그러나 대조군은 각 처리 그룹의 두 배여야 합니다. 또한 두 처리 그룹은 크기가 같아야 합니다. 이전 연구에 따르면 오차 표준편차는 약 5 또는 6입니다.
이 상황에 대한 전향적 검정력 분석을 수행하려면 Bacteria.jmp 샘플 데이터 테이블에 표시된 몇 가지 기본 정보를 포함하는 데이터 테이블을 생성합니다.
그림 3.53 Bacteria.jmp 데이터 테이블
• Group 열은 그룹을 식별합니다.
• Means 열은 열 간에 감지해야 할 최소 차이를 반영합니다. 여기서 대조군의 평균은 약 40이라고 가정합니다. 둘 중 한 처리 그룹의 평균이 대조군의 평균보다 8 단위 이상 크면 검정이 유의하다는 결론을 내리려고 합니다. 이러한 이유로 두 처리 그룹 중 하나에 평균 48을 할당합니다. 다른 처리 그룹의 평균은 대조군의 평균과 동일하게 설정합니다. 아니면 대조군과 처리 그룹 중 하나에 평균 0을 할당하고 나머지 처리 그룹에 평균 8을 할당할 수 있습니다. 그룹 평균의 차이는 모집단 값입니다.
• Relative Sizes 열에는 처리 그룹의 원하는 상대 크기가 표시됩니다. 이 열은 대조군이 각 처리 그룹의 두 배여야 함을 나타냅니다. 아니면 상대 크기 기준을 준수하는 처리 크기에 대한 초기 추측 값으로 시작할 수 있습니다.
참고: Relative Sizes 열에는 "빈도" 역할이 할당되어야 합니다. "열" 패널에서 열 이름 오른쪽에 있는 기호를 확인하십시오.
그런 다음 모형 적합을 사용하여 일원 분산 분석 모형을 적합시킵니다(Figure 3.54). 시작 창에서 Relative Sizes가 빈도로 선언되어 있습니다. 또한 "최소 보고서" 강조 옵션이 선택되어 있습니다.
그림 3.54 박테리아 연구에 대한 모형 적합 시작 창
실행을 클릭하여 "최소 제곱 적합" 보고서를 생성합니다. 그룹 내에 오차 변동이 없는 데이터 테이블을 지정했으므로 이 보고서에는 "제곱근 평균 제곱 오차" 및 오차의 제곱합이 0.0으로 표시됩니다. 검정력 분석을 얻으려면 오차 변동에 대해 제안된 값 범위를 입력해야 합니다. 특히 오차 변동이 약 5에서 최대 6이 될 수 있다는 정보가 있습니다.
1. "효과 상세 정보" 옆의 표시 아이콘을 클릭하여 이 보고서를 엽니다.
2. "Group"의 빨간색 삼각형을 클릭하고 검정력 분석을 선택합니다.
3. 의심되는 오차 변동 범위를 탐색하려면 s 아래의 첫 번째 상자에 5를 입력하고 두 번째 상자에 6을 입력합니다(Figure 3.55).
4. d는 3.464102로 입력되어 있습니다. 이 값은 그룹 평균의 지정된 차이에 해당하는 효과 크기입니다. 데이터 테이블에는 효과 크기 계산을 보여 주는 세 개의 숨겨진 열이 포함되어 있습니다. 자세한 내용은 불균형 일원 배치에서 확인하십시오.
5. 해당 연구 크기 범위에 대해 검정력을 탐색하려면 개수 아래의 첫 번째 상자에 16, 두 번째 상자에 64, 세 번째 상자에 증분 4를 각각 입력합니다(Figure 3.55).
6. 검정력 계산을 선택합니다.
7. 완료를 클릭합니다.
그림 3.55 박테리아 연구에 대한 검정력 상세 정보 창
Figure 3.56에 표시된 "검정력 상세 정보" 보고서가 "검정력 상세 정보 창"을 대체합니다. 이 보고서에서는 a = 0.05, s = 5와 6의 모든 조합 및 4씩 증가하는 16 ~ 64의 표본 크기에 대한 검정력 계산을 제공합니다. s가 5일 때 약 90% 검정력을 얻으려면 약 32개의 표본 크기가 필요합니다. 대조군에 16명, 각 처리 그룹에 8명의 참가자가 필요합니다. 반면에 s가 6일 때는 총 44명의 참가자가 필요합니다.
그림 3.56 박테리아 연구에 대한 검정력 상세 정보 보고서
"검정력 상세 정보" 보고서의 테이블 맨 아래에 있는 화살표를 클릭하면 Figure 3.57에 표시된 것과 같이 s의 두 값에 대한 검정력 대 표본 크기 그림이 표시됩니다. 여기서 빨간색 표식은 s = 5에 해당하고 녹색 표식은 s = 6에 해당합니다.
그림 3.57 박테리아 연구에 대한 검정력 그림