该报表给出模型中每个参数估计值的“CI(置信区间)长度部分增加”和“估计的相对标准误差”。这两个值越小越好。Figure 15.22显示 Design Experiment 文件夹下 Bounce Data.jmp 样本数据表的“估计效率”分级显示项。
图 15.22 “估计效率”分级显示项
“CI 长度部分增加”比较当前设计给出的参数的置信区间长度与理想设计给出的置信区间长度:
• 将从参数的实际置信区间长度减去其理想置信区间长度。
• 然后用该差值除以理想置信区间长度。
对于 D 最优正交设计,部分增加量为零。选择设计时,您希望置信区间长度的部分增加量尽量的小。
普通最小二乘估计量的协方差矩阵为 σ2(X′X)-1。(X′X)-1 的对角线元素是参数估计值的相对方差(除以 σ2 后的方差)。对于两水平设计和使用效应编码规则(请参见编码),任何参数估计值的相对方差的最小值为 1/n,其中,n 是试验次数。当设计的所有效应都正交并且设计为 D 最优时就会发生这种情况。
用
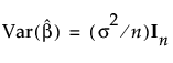
表示参数估计值的向量。理想设计(可能不存在)是具有如下给出的协方差矩阵的设计:

其中,In 是 n*n 单位矩阵,σ 是响应的标准差。
若存在正交 D 最优设计,则该设计为理想设计。不过,上述定义将理想设计的范围延伸到了正交和 D 最优均不存在的情况。
该定义还适用于有多水平分类因子的设计。用于分类因子的正交编码允许此类设计具有理想的协方差矩阵。对于定制设计,您可以查看编码矩阵,方法是:在“定制设计”窗口的选项中选择“保存 X 矩阵”、制作设计表并查看保存到设计表中的脚本“模型矩阵”。
请注意,在理想设计中,参数估计值的标准误差将计算如下:

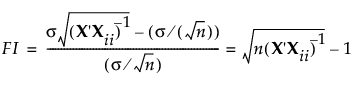
置信区间的长度由标准误差决定。置信区间长度的部分增加是给定设计的标准误差与理想设计的标准误差之间的差值除以理想设计标准误差之后的值。
具体而言,对于第 i 个参数,按以下方式定义“置信区间长度的部分增加”:

其中
σ2 是未知的响应方差,
X 是给定设计的模型矩阵(在别名矩阵中定义),
是
的第 i 个对角线元素,
n 是试验次数。
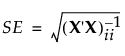
“估计的相对标准误差”提供参数估计值的标准差与误差标准差的比值。这些值指示模型参数估计值的标准误差相对于误差标准差有多大。对于第 i 个参数估计值,按以下方式定义“估计的相对标准误差”:

其中
X 是别名矩阵中定义的模型矩阵,
是
的第 i 个对角线元素。