JMP 14.2オンラインマニュアル
はじめてのJMP
JMPの使用法
基本的な統計分析
グラフ機能
プロファイル機能
実験計画(DOE)
基本的な回帰モデル
予測モデルおよび発展的なモデル
多変量分析
品質と工程
信頼性/生存時間分析
消費者調査
スクリプトガイド
スクリプト構文リファレンス
JMP iPad Help (英語)
JMP Interactive HTML (英語)
機能インデックス
JMP統計機能ガイド
このバージョンのヘルプはこれ以降更新されません。最新のヘルプは
https://www.jmp.com/support/help/ja/15.2
からご覧いただけます。
実験計画(DOE)
• 決定的スクリーニング計画
前へ
•
次へ
決定的スクリーニング計画
スクリーニングしたい因子が連続尺度や2水準の名義尺度である場合には、決定的スクリーニング計画(DSD; Definitive Screening Design)が利用できます。決定的スクリーニング計画は、2因子間交互作用が存在していると考えられる状況や、連続尺度の因子がもつ効果が曲線的であると考えられる状況において、特に有用です。
決定的スクリーニング計画は規模が小さいのが特徴です。因子が6個以上ある場合、実験回数は因子数のほぼ倍で済みます。それでも、多くの場合、複数の因子のうちどれが応答に影響するかを特定できます。また、決定的スクリーニング計画は、強い非線形効果をもつ因子を検出し、特定します。
決定的スクリーニング計画が標準のスクリーニング計画よりも優れているのは、次のような点です。
•
連続尺度の因子を3水準に設定して実験し、非線形効果をもつ因子を特定します。標準のスクリーニング計画では、連続尺度の因子は2水準です。標準のスクリーニング計画でも中心点を追加できますが、それらの追加された中心点は、いずれかの因子に曲線性があることしか確認できません。中心点を追加した標準のスクリーニング計画では、2乗効果をもつ因子がどれであるかを特定することはできません。
•
決定的スクリーニング計画では、すべての2次までの効果間において完全交絡がありません。また、連続尺度の主効果は、互いに直交しており、かつ、2因子間交互作用や2乗効果とも直交しています。また、2因子間交互作用同士は完全交絡していません。一方、実験回数が同程度である標準的なスクリーニング計画の多くでは、完全交絡があります。
•
標準的なスクリーニング計画だけでは曖昧さが残るために追加実験が必要な場合があります。決定的スクリーニング計画では追加実験を省くことができ、費用が節約できます。
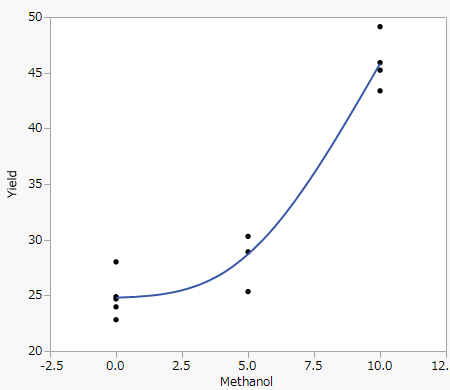
図7.1
曲線性を示す応答と因子のプロット
目次
決定的スクリーニング計画の概要
決定的スクリーニング計画の例
決定的スクリーニング計画
一部実施要因計画との比較
ブロック因子を含む決定的スクリーニング計画
決定的スクリーニング計画とPlackett-Burman計画の比較
「決定的スクリーニング計画」ウィンドウ
応答
因子
計画のオプション
計画
計画の評価
出力オプション
決定的スクリーニング計画のオプション
応答のシミュレート
技術的詳細
決定的スクリーニング計画の構造
実験データの分析