实验设计指南 > 确定性筛选设计
发布日期: 11/15/2021

确定性筛选设计

确定性筛选设计 (DSD) 属于筛选设计。这些设计适用于早期实验工作,特别适用于具有四个或更多因子的实验工作。DSD 可用于连续或两水平分类因子组合。该设计在多数因子为连续型时性能最佳。每个连续因子都有三个水平,允许调查连续因子的二次模型项。

以下列出了确定性筛选设计优越于标准筛选设计的方面:

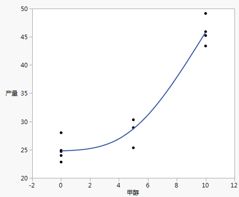
通过将各个连续因子设定在三个水平,确定性筛选设计可帮助标识非线性效应的原因。在标准筛选设计中,连续因子仅有两个水平。您可以向筛选设计添加中心点,但仅当存在曲率时才建立这些点。此类设计不允许您标识引起二次效应的因子。

它们可以避免最高达到二阶的任何效应之间的混杂。对于连续因子,确定性筛选设计的主效应彼此之间正交,并与双因子交互作用和二次效应正交。双因子交互作用彼此之间不完全混杂。但在具有类似试验次数的许多标准筛选设计中都会出现混杂。

它们可以避免为解决标准筛选设计初始结果的不确定性而进行的成本高昂的额外试验。

图 7.1 显示曲率的“响应-因子值”图 

Image shown here

目录

确定性筛选设计概述

确定性筛选设计示例

确定性筛选设计
与部分析因设计进行比较
包含分区组的确定性筛选设计
确定性筛选设计与 Plackett-Burman 设计的比较

“确定性筛选设计”窗口

响应
因子
设计选项
设计
设计评估
输出选项

确定性筛选设计选项

模拟响应

技术细节

确定性筛选设计的结构
实验数据分析
需要更多信息?有问题?从 JMP 用户社区得到解答 (community.jmp.com).