JMP 14.2 联机文档
发现 JMP
使用 JMP
基本分析
基本绘图
刻画器指南
实验设计指南
拟合线性模型
预测和专业建模
多元方法
质量和过程方法
可靠性和生存方法
消费者研究
Scripting Guide
JSL Syntax Reference
该帮助的版本不再更新,请参见
https://www.jmp.com/support/help/zh-cn/15.2
获取最新的版本.
实验设计指南
• 确定性筛选设计
上一个
•
下一个
确定性筛选
设计
若您有连续因子或两水平分类因子的任意组合,则可利用确定性筛选设计进行因子筛选。若您怀疑有活跃的双因子交互作用,或是怀疑一个连续因子对响应的效应图可能表现出强曲率,此时确定性筛选设计尤其有用。
确定性筛选设计是小型设计。对于六个或六个以上的因子,试验次数大约只是因子数的两倍。但是,此类设计往往会最终确定哪几个因子影响响应。特别是,此类设计可检测和标识对响应造成强非线性效应的所有因子。
以下列出了确定性筛选设计优越于标准筛选设计的方面:
•
通过将各个连续因子设定在三个水平,确定性筛选设计可帮助标识非线性效应的原因。在标准筛选设计中,连续因子仅有两个水平。您可以向筛选设计添加中心点,但仅当存在曲率时才建立这些点。此类设计不允许您标识引起二次效应的因子。
•
它们可以避免最高达到二阶的任何效应之间的混杂。对于连续因子,确定性筛选设计的主效应彼此之间正交,并与双因子交互作用和二次效应正交。双因子交互作用彼此之间不完全混杂。但在具有类似试验次数的许多标准筛选设计中都会出现混杂。
•
它们可以避免为解决标准筛选设计初始结果的不确定性而进行的成本高昂的额外试验。
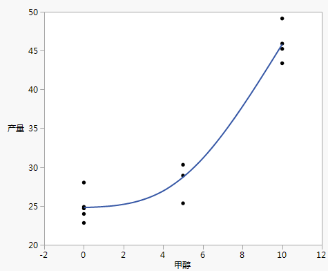
图 7.1
显示曲率的“响应-因子值”图
目录
确定性筛选设计概述
确定性筛选设计示例
确定性筛选设计
与部分析因设计进行比较
包含分区组的确定性筛选设计
确定性筛选设计与 Plackett-Burman 设计的比较
“确定性筛选设计”窗口
响应
因子
设计选项
设计
设计评估
输出选项
确定性筛选设计选项
模拟响应
技术细节
确定性筛选设计的结构
实验数据分析