"시계열"의 빨간색 삼각형 메뉴에는 다음 유형의 모형을 적합시키기 위한 옵션이 포함되어 있습니다.
ARIMA
적합시킬 ARIMA 모형을 지정할 수 있는 "ARIMA 규격" 창을 표시합니다. ARIMA 모형은 과거 값과 일련의 오차(확률 충격 또는 개변이라고도 함)의 선형 결합을 통해 시계열의 미래 값을 예측합니다. ARIMA 모형은 시계열에 대해 지정된 ARIMA 모형의 최대 가능도 적합을 수행합니다. 자세한 내용은 ARIMA 모형에서 확인하십시오.
참고: 일반적으로 ARIMA 모형은 ARIMA(p,d,q)로 표시됩니다. P, d 또는 q가 0이면 해당 문자가 삭제됩니다. 예를 들어 p와 d가 0이면 모형은 MA(q)로 표시되는 단순 이동 평균 모형이 됩니다.
그림 18.6 ARIMA 규격 창
p, 자기회귀 차수
다항식 j(B) 연산자의 차수 p입니다.
d, 차분 차수
차분 연산자의 차수 d입니다.
q, 이동 평균 차수
차분 연산자 q(B)의 차수 q입니다.
예측 구간
예측 구간에 대해 0에서 1 사이의 예측 수준을 설정할 수 있습니다.
절편
절편 항 m를 모형에 포함할지 여부를 결정합니다.
제약 적합
이 옵션을 선택하면 적합 절차에서 자기회귀 모수가 항상 안정 영역 내에 있고 이동 평균 모수가 가역 영역 내에 있도록 제한합니다.
팁: 적합기가 최적 값을 찾기 어렵거나 적합 속도를 높이려면 "제약 적합" 옵션을 선택 취소하십시오. "모형 요약" 테이블을 사용하여 결과 적합 모형이 안정적이고 가역적인지 확인할 수 있습니다.
모형을 지정하고 추정을 클릭하면 모형 보고서가 보고서 창에 추가됩니다. 자세한 내용은 추가 시계열 보고서에서 확인하십시오.
계절 ARIMA
적합시킬 계절 ARIMA 모형을 지정할 수 있는 "계절 ARIMA 규격" 창을 표시합니다. 이 창에는 "ARIMA 규격" 창과 동일한 요소가 있지만 계절 요소 규격도 포함됩니다. "기간별 관측값 수" 옵션을 사용하면 s로 표시되는 기간별 관측값 수를 지정할 수 있습니다. 계절 ARIMA 모형에 대한 자세한 내용은 계절 ARIMA 모형에서 확인하십시오.
참고: 계절 ARIMA 모형은 "계절 ARIMA(p,d,q)(P,D,Q)s"로 표시됩니다.
모형을 지정하고 추정을 클릭하면 모형 보고서가 보고서 창에 추가됩니다. 자세한 내용은 추가 시계열 보고서에서 확인하십시오.
평활 모형
평활 모형 하위 메뉴를 표시합니다. 평활 모형을 선택하면 규격 창이 나타납니다. 자세한 내용은 단순 평활 평균 지정 창 및 평활 모형 창에서 확인하십시오. 지정된 각 모형에 대한 평활 모형 보고서가 보고서 창에 나타납니다. 자세한 내용은 모형 보고서에서 확인하십시오. 평활 모형은 모형에 의한 시계열의 진화를 나타냅니다.

다음은 각 요소에 대한 설명입니다.
mt = 시간에 따라 변하는 평균 항
bt = 시간에 따라 변하는 기울기 항
s(t) = 시간에 따라 변하는 계절 항 중 하나
at = 확률 충격
일반 평활 모형 방정식에 대한 자세한 내용은 지수 평활 모형에 대한 통계 상세 정보에서 확인하십시오. 다음과 같은 평활 모형을 사용할 수 있습니다.
단순 이동 평균
(시작 창에서 "홀드백에 대한 예측" 또는 "Box-Cox 변환 사용"을 선택한 경우에는 사용 불가능) 평활 창에서 정의된 인접한 여러 점의 평균을 사용하여 값을 추정하는 모형입니다. "단순 평활 평균 지정" 창에서 평활 창의 특성을 지정할 수 있습니다. 평활 창 옵션을 지정하면 "단순 이동 평균" 보고서가 표시됩니다. 기본적으로 이 보고서는 시간 창에서 연속 관측값의 평균과 동일한 값이 표시된 그림을 생성합니다. 여러 단순 이동 평균 모형을 추가하고 동일한 그림에 표시할 수 있습니다. 자세한 내용은 단순 평활 평균 지정 창에서 확인하십시오.
단순 지수 평활
수준 성분이 있는 모형입니다. 자세한 내용은 단순 지수 평활에서 확인하십시오.
이중 지수 평활
수준 성분과 추세 성분이 있는 모형입니다. 이것은 선형 지수 평활의 특수한 경우입니다. 자세한 내용은 이중 (Brown) 지수 평활에서 확인하십시오.
선형 지수 평활
수준 성분과 추세 성분이 있는 모형입니다. 자세한 내용은 선형 (Holt) 지수 평활에서 확인하십시오.
진폭감소 추세 선형 지수 평활
수준 성분과 진폭감소 추세 성분이 있는 모형입니다. 이 모형은 선형 추세보다 더 복잡한 추세를 나타내는 계열에 적절합니다. 자세한 내용은 진폭감소 추세 선형 지수 평활에서 확인하십시오.
계절 지수 평활
수준 성분과 계절 성분이 있는 모형입니다. 자세한 내용은 계절 지수 평활에서 확인하십시오.
Winters 방법
수준 성분, 추세 성분 및 계절 성분이 있는 모형입니다. 자세한 내용은 Winters 방법(가법 모형)에서 확인하십시오.
참고: 단순 이동 평균 모형을 제외한 각 평활 모형은 기존 지수 평활 모형이며 ARIMA 모형과 동일합니다. 일부 평활 모형은 ARIMA 옵션에서 ARIMA 모형 모수를 허용하지 않도록 제한하는 방식이 내재되어 있으므로 ARIMA 옵션을 사용하여 동등한 ARIMA 모형을 지정하지 못할 수도 있습니다.
상태 공간 평활 모형
다양한 상태 공간 평활 모형을 적합시킬 수 있는 "상태 공간 평활 모형 지정" 창을 표시합니다. 이 내용은 Hyndman et al. (2008) 연구 자료에 정의되어 있습니다. 상태 공간 평활 모형은 오차, 추세 성분 및 계절 성분을 기반으로 정의됩니다.
– 오차는 가법(A) 또는 승법(M)일 수 있습니다.
– 추세 성분은 없음(N), 가법(A), 진폭감소 가법(Ad), 승법(M) 또는 진폭감소 승법(Md)일 수 있습니다.
– 계절 성분은 없음(N), 가법(A) 또는 승법(M)일 수 있습니다.
특정 모형은 ETS (오차, 추세, 계절)로 나타낼 수 있습니다. "상태 공간 평활 모형 지정" 창의 체크박스를 사용하여 원하는 모형에 대한 오차, 추세 및 계절성을 선택합니다. 플랫폼에서 권장하는 모형에 해당하는 체크박스를 선택하려면 권장 선택을 클릭합니다. 권장 모형이 선택된 상태로 창이 열립니다. 모두 선택을 클릭하여 모든 체크박스를 선택하거나 모두 선택 취소를 클릭하여 모든 체크박스를 선택 취소할 수 있습니다.
이 창에는 다음 옵션도 포함되어 있습니다.
주기
모형 적합 프로세스에서 고려할 계절성 값을 지정합니다.
모수 제한
관측값이 현재에서 멀어질수록 모형의 현재 상태에 미치는 영향이 적어지도록 모수를 제한합니다. 상태 공간 평활 모형에서 모든 이전 관측값이 주어진 경우 시간 t에서의 예측은 시간 t까지의 모든 관측값의 가중합과 동일합니다. 가중치는 모수의 함수입니다. 따라서 모수를 제한하면 과거 관측값에 대한 가중치가 0이 되고 관측값이 현재에서 멀어질수록 가중치가 더 빨리 0이 됩니다.
확인을 클릭하면 지정된 모형 집합이 적합됩니다. 적합된 각 상태 공간 평활 모형이 모형 비교 테이블에 추가됩니다. 모형 비교 테이블에서 상태 공간 평활 모형에 대한 "보고서" 체크박스를 선택하면 "상태 공간 평활" 보고서가 나타납니다. 자세한 내용은 상태 공간 평활 보고서에서 확인하십시오.
전이 함수
("전이 함수 분석"의 빨간색 삼각형 메뉴에서만 사용 가능) "전이 함수 모형 규격" 창을 표시합니다. 전이 함수 모형을 생성하는 것은 ARIMA 모형을 생성하는 것과 비슷하며 모형 탐색, 적합 및 비교를 반복하는 프로세스입니다. 모형을 생성하기 전 데이터 탐색 프로세스 중에 데이터를 사전백색화하는 것이 유용할 때가 있습니다. 자세한 내용은 사전백색화에서 확인하십시오. 전이 함수에 대한 자세한 내용은 전이 함수에 대한 통계 상세 정보에서 확인하십시오.
참고: 현재 "전이 함수" 옵션은 결측값을 제한적으로 지원합니다. 시계열 플랫폼에서는 제외된 행도 결측값으로 처리하므로 제외된 행이 포함된 데이터 테이블에 대해서는 전이 함수 모형을 적합시킬 수 없습니다.
그림 18.7 전이 함수 모형 규격 창
"전이 함수 모형 규격" 창에는 다음 섹션이 포함되어 있습니다.
잡음 계열 차수
잡음 계열에 대한 규격을 포함합니다. 소문자는 비계절 다항식의 계수이고 대문자는 계절 다항식의 계수입니다.
입력 선택
모형에 대한 입력 계열을 선택할 수 있습니다.
입력 계열 차수
입력 계열에 대한 규격을 포함합니다. 처음 세 차수는 비계절 다항식과 관련됩니다. 다음 네 차수는 계절 다항식과 관련됩니다. 마지막 옵션은 입력 시차에 대한 것입니다.
다음과 같이 모형 적합을 제어하는 세 가지 추가 옵션이 있습니다.
절편
모형에 절편이 있는지 여부를 지정합니다. 이 옵션을 선택하지 않으면 m가 0으로 가정됩니다.
대체 파라미터화
분자 다항식에서 일반 회귀 계수를 인수 분해할지 여부를 지정합니다.
제약 적합
AR 및 MA 계수의 제약을 전환합니다.
예측 주기
예측에 사용되는 예측 주기 수를 지정합니다. 데이터 테이블의 끝에 Y 변수에 대한 결측값과 입력 변수에 대한 비결측 값이 포함된 행이 있으면 이러한 행이 초기 예측 설정에 사용됩니다. 입력 변수의 값은 입력 변수의 미래 값으로 간주됩니다.
예측 구간
예측 구간에 대한 신뢰 수준을 지정합니다.
ARIMA 모형 그룹
차수 범위를 지정하여 다양한 ARIMA 모형 또는 계절 ARIMA 모형을 적합시킬 수 있는 "ARIMA 모형 그룹" 창을 표시합니다. 창에 범위를 입력하면 그에 따라 "총 모형 수"가 업데이트됩니다.
그림 18.8 ARIMA 모형 그룹 규격 창
모형을 지정하고 추정을 클릭하면 지정된 각 모형에 대한 모형 보고서가 보고서 창에 추가됩니다. 자세한 내용은 추가 시계열 보고서에서 확인하십시오.
"단순 이동 평균"을 평활 모형으로 선택하면 "단순 평활 평균 지정" 창이 나타납니다. W를 SMA(단순 이동 평균) 모형의 평활 창 너비라고 하겠습니다. Ft=(yt+yt-1+yt-2+...+yt-(w-2)+yt-(w-1))/w를 특정 시점 t에 대한 연속된 w개 관측값의 평균이라고 하겠습니다.
그림 18.9 단순 평활 평균 지정 창
평활 창 너비를 입력하십시오.
평균을 구할 연속 점 수를 정의하는 평활 창 너비 w입니다. 창 너비가 클수록 계열이 더 많이 평활됩니다.
중심화 안 함
평활 창은 계열이 추정되는 점인 시점 t까지 이어지는 연속 점으로 구성됩니다. 즉, ft는 시간 t에 대해 그림에 표시되는 값입니다.
중심화
평활 창은 계열이 추정되는 시점을 중심으로 합니다.
– 홀수 w의 경우 ft는 시간 t-(w-1)/2에 대해 그림에 표시되는 값입니다.
– 짝수 w의 경우 ft는 시간 t-(w-1)/2에 대해 그림에 표시되는 값입니다. 데이터 테이블에 저장할 때 ft는 t-(w-2)/2입니다.
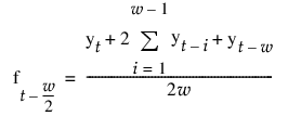
짝수 항에 대해 중심화 및 이중 평활
짝수 w의 경우 평활 창은 계열이 추정되는 시점을 중심으로 할 수 없습니다. 이 옵션은 거의 중심에 있는 두 개의 평활 창을 생성하여 평균을 구합니다. 평활 추정값은 다음과 같이 계산됩니다.

"단순 이동 평균" 이외의 평활 모형 옵션 중 하나를 선택하면 평활 모형 규격 창이 나타납니다. 창 제목과 사용 가능한 옵션은 선택한 평활 모형 옵션에 따라 다릅니다.
그림 18.10 평활 모형 규격 창
예측 구간
예측 구간에 대해 예측 수준을 설정할 수 있습니다.
기간별 관측값 수
(계절 평활 모형에만 사용 가능) 계절 평활 모형에서 기간별 관측값 수를 설정할 수 있습니다.
제약 조건
적합 중 평활 가중치에 적용할 제약 조건 유형을 지정할 수 있습니다. 다음과 같은 제약 조건 옵션을 사용할 수 있습니다.
0부터 1까지
평활 가중치 값을 0부터 1까지의 범위로 제한합니다.
무제약
모수의 범위를 자유롭게 지정할 수 있습니다.
안정적 가역적
동등한 ARIMA 모형이 안정적이고 가역적이 되도록 모수를 제한합니다.
사용자 정의
개별 평활 가중치에 대한 제약 조건을 설정할 수 있도록 대화상자를 확장합니다. 각 평활 가중치는 가중치 이름 옆의 팝업 메뉴 설정에 따라 유계(bounded), 고정 또는 무제약일 수 있습니다. 고정 또는 유계 가중치에 대한 값을 입력할 때 해당 값은 양의 실수 또는 음의 실수일 수 있습니다.
그림 18.11 사용자 평활 가중치
Figure 18.11에 표시된 예제에는 0.3 값으로 고정된 "수준" 가중치(a)와 0.1 ~ 0.8 범위로 제한된 "추세" 가중치(g)가 있습니다. 이 경우 추세 가중치 값은 0.1 ~ 0.8 범위 내에서 달라질 수 있지만 수준 가중치는 0.3으로 유지됩니다. 이러한 사용자 제약 조건을 사용하여 모든 평활 가중치를 미리 지정할 수 있습니다. 이 경우 예측과 잔차는 계산되지만 가중치는 데이터에서 추정되지 않습니다.